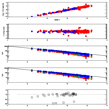
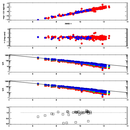
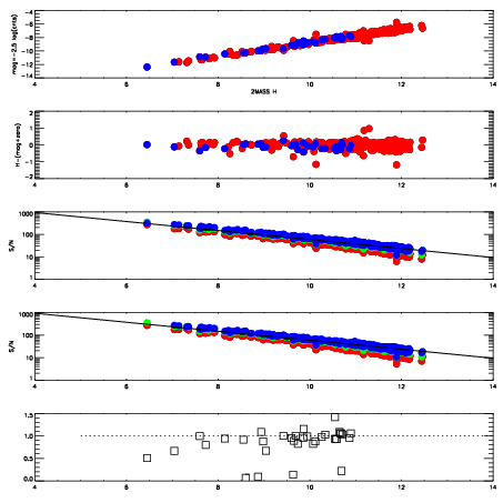
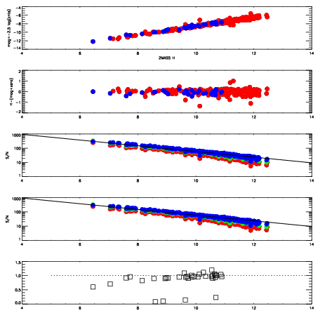
Left plots: red are targets, blue are telluric. Observed mags are calculated from median value of green chip. Zeropoint gives overall throughput: bigger number is more throughput.
First spatial plots: circles are objects, squares are tellurics, crosses are sky fibers. Colors give deviation of observed mag from expected 2MASS mag using the median zeropoint; red is brighter
Second spatial plots: circles are sky fibers. Colors give sky line brightness relative to plate median sky line brightness
FrameNreadsZeropointsMag plots Spatial mag deviation Spatial sky 16325A emission deviations (filled: sky, open: star) Spatial sky continuum emission Spatial sky telluric CO2 absorption deviations (filled: H < 10)
6720043 47
RedGreenBlue
z18.81
znorm14.63
sky 14.0 13.8 13.8
S/N 13.2 20.9 23.0
S/N(c) 11.2 19.3 21.9
SN(E/C) 0.94
6720044 47
RedGreenBlue
z18.31
znorm14.13
sky 13.5 13.4 13.5
S/N 8.8 14.8 16.3
S/N(c) 7.6 13.7 15.2
SN(E/C) 0.98
6720045 47
RedGreenBlue
z18.28
znorm14.10
sky 13.2 13.1 13.1
S/N 8.3 14.0 15.3
S/N(c) 7.0 12.4 14.7
SN(E/C) 1.02
6720046 47
RedGreenBlue
z18.62
znorm14.44
sky 13.6 13.6 13.6
S/N 11.4 18.7 20.5
S/N(c) 9.9 17.2 18.8
SN(E/C) 0.95