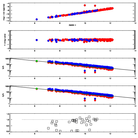
| Frame | Nreads | Zeropoints | Mag plots
| Spatial mag deviation
| Spatial sky 16325A emission deviations (filled: sky, open: star)
| Spatial sky continuum emission
| Spatial sky telluric CO2 absorption deviations (filled: H < 10)
|
| 6120029
| 47
| | Red | Green | Blue
| | z | | 19.11
| | znorm | | 14.93
| | sky | 14.8 | 14.4 | 14.3
| | S/N | 16.4 | 25.2 | 26.4
| | S/N(c) | 15.1 | 23.7 | 25.4
| | SN(E/C) | 0.80
|
|
|
|
|
|
|
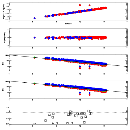
| 6120030
| 47
| | Red | Green | Blue
| | z | | 19.12
| | znorm | | 14.94
| | sky | 14.3 | 14.5 | 14.6
| | S/N | 16.2 | 25.5 | 26.8
| | S/N(c) | 15.0 | 24.2 | 25.9
| | SN(E/C) | 0.82
|
|
|
|
|
|
|
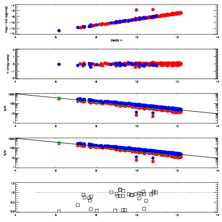
| 6120031
| 47
| | Red | Green | Blue
| | z | | 19.13
| | znorm | | 14.95
| | sky | 14.6 | 14.5 | 14.6
| | S/N | 16.5 | 25.6 | 26.9
| | S/N(c) | 15.2 | 24.3 | 26.1
| | SN(E/C) | 0.83
|
|
|
|
|
|
|
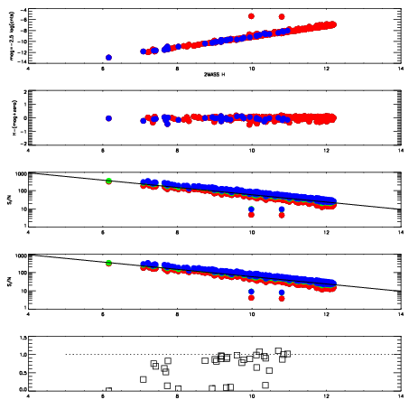
| 6120032
| 47
| | Red | Green | Blue
| | z | | 19.13
| | znorm | | 14.95
| | sky | 14.6 | 14.5 | 14.8
| | S/N | 16.2 | 25.7 | 27.2
| | S/N(c) | 15.1 | 24.6 | 26.2
| | SN(E/C) | 0.84
|
|
|
|
|
|
|
| 6120033
| 47
| | Red | Green | Blue
| | z | | 19.11
| | znorm | | 14.93
| | sky | 14.4 | 14.6 | 14.8
| | S/N | 15.8 | 25.3 | 27.0
| | S/N(c) | 14.6 | 24.5 | 25.8
| | SN(E/C) | 0.84
|
|
|
|
|
|
|
| 6120034
| 47
| | Red | Green | Blue
| | z | | 18.96
| | znorm | | 14.78
| | sky | 14.9 | 14.7 | 14.9
| | S/N | 14.9 | 23.7 | 25.2
| | S/N(c) | 13.7 | 22.7 | 24.2
| | SN(E/C) | 0.86
|
|
|
|
|
|
|