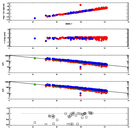
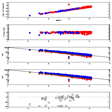
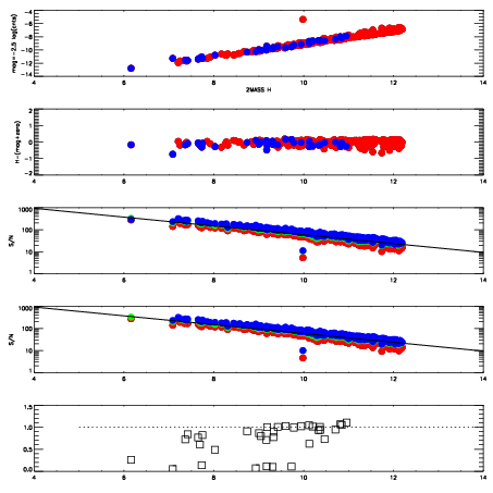
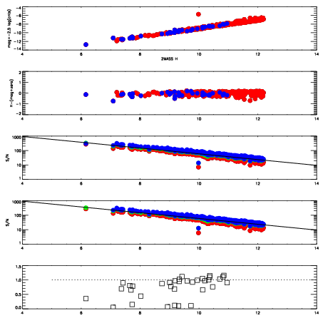
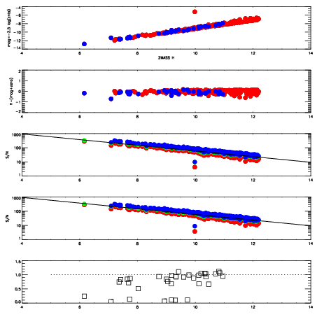
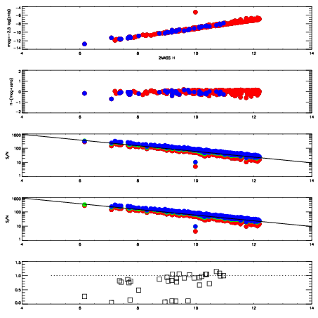
| Frame | Nreads | Zeropoints | Mag plots
| Spatial mag deviation
| Spatial sky 16325A emission deviations (filled: sky, open: star)
| Spatial sky continuum emission
| Spatial sky telluric CO2 absorption deviations (filled: H < 10)
|
| 6740025
| 47
| | Red | Green | Blue
| | z | | 19.03
| | znorm | | 14.85
| | sky | 14.9 | 14.6 | 14.6
| | S/N | 14.9 | 24.1 | 25.8
| | S/N(c) | 13.2 | 22.5 | 24.5
| | SN(E/C) | 0.89
|
|
|
|
|
|
|
| 6740026
| 47
| | Red | Green | Blue
| | z | | 19.10
| | znorm | | 14.92
| | sky | 14.8 | 14.6 | 14.9
| | S/N | 15.7 | 24.7 | 26.9
| | S/N(c) | 13.8 | 23.2 | 25.5
| | SN(E/C) | 0.87
|
|
|
|
|
|
|
| 6740027
| 47
| | Red | Green | Blue
| | z | | 19.10
| | znorm | | 14.92
| | sky | 14.7 | 14.7 | 15.0
| | S/N | 15.3 | 24.8 | 26.8
| | S/N(c) | 13.6 | 23.3 | 25.4
| | SN(E/C) | 0.84
|
|
|
|
|
|
|
| 6740028
| 47
| | Red | Green | Blue
| | z | | 19.13
| | znorm | | 14.95
| | sky | 14.6 | 14.7 | 14.8
| | S/N | 15.8 | 24.9 | 27.0
| | S/N(c) | 14.0 | 23.4 | 25.8
| | SN(E/C) | 0.86
|
|
|
|
|
|
|
| 6740029
| 47
| | Red | Green | Blue
| | z | | 19.13
| | znorm | | 14.95
| | sky | 15.0 | 14.7 | 14.9
| | S/N | 15.5 | 25.1 | 26.7
| | S/N(c) | 13.8 | 23.4 | 25.4
| | SN(E/C) | 0.82
|
|
|
|
|
|
|
| 6740030
| 47
| | Red | Green | Blue
| | z | | 19.14
| | znorm | | 14.96
| | sky | 14.9 | 14.5 | 14.9
| | S/N | 15.7 | 25.2 | 27.1
| | S/N(c) | 13.9 | 23.9 | 25.8
| | SN(E/C) | 0.89
|
|
|
|
|
|
|
| 6740031
| 47
| | Red | Green | Blue
| | z | | 19.13
| | znorm | | 14.95
| | sky | 14.5 | 14.6 | 15.0
| | S/N | 15.6 | 25.0 | 27.1
| | S/N(c) | 13.8 | 23.7 | 25.9
| | SN(E/C) | 0.87
|
|
|
|
|
|
|
| 6740032
| 47
| | Red | Green | Blue
| | z | | 19.08
| | znorm | | 14.90
| | sky | 14.9 | 14.7 | 14.9
| | S/N | 14.9 | 24.5 | 26.2
| | S/N(c) | 13.3 | 22.9 | 25.0
| | SN(E/C) | 0.86
|
|
|
|
|
|
|