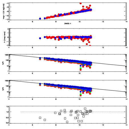
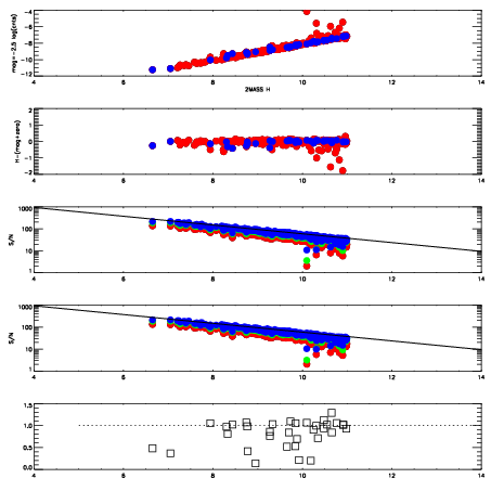
Left plots: red are targets, blue are telluric. Observed mags are calculated from median value of green chip. Zeropoint gives overall throughput: bigger number is more throughput.
First spatial plots: circles are objects, squares are tellurics, crosses are sky fibers. Colors give deviation of observed mag from expected 2MASS mag using the median zeropoint; red is brighter
Second spatial plots: circles are sky fibers. Colors give sky line brightness relative to plate median sky line brightness
FrameNreadsZeropointsMag plots Spatial mag deviation Spatial sky 16325A emission deviations (filled: sky, open: star) Spatial sky continuum emission Spatial sky telluric CO2 absorption deviations (filled: H < 10)
8730081 47
RedGreenBlue
z18.13
znorm13.95
sky 14.5 14.3 14.2
S/N 10.7 16.8 18.3
S/N(c) 9.8 15.7 17.5
SN(E/C) 0.93
8730082 47
RedGreenBlue
z18.27
znorm14.09
sky 14.3 14.3 14.4
S/N 11.6 17.8 19.7
S/N(c) 10.7 16.8 19.0
SN(E/C) 0.91