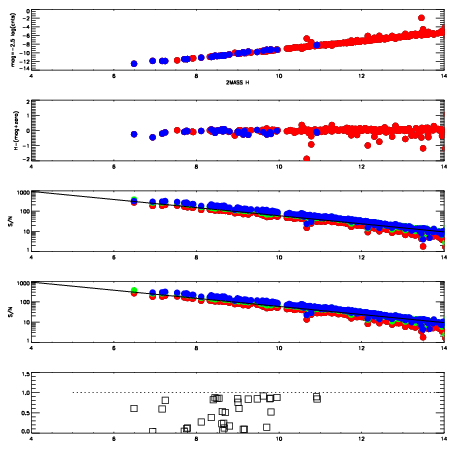
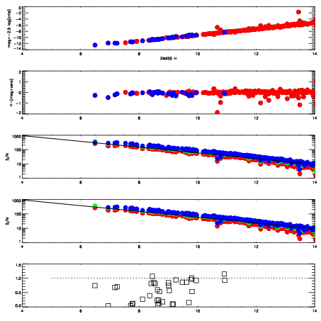
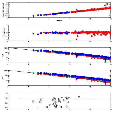
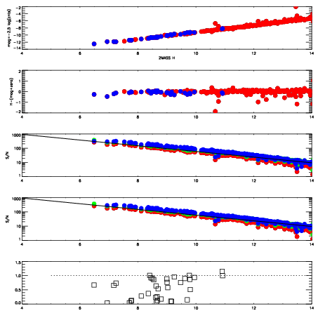
Frame | Nreads | Zeropoints | Mag plots
| Spatial mag deviation
| Spatial sky 16325A emission deviations (filled: sky, open: star)
| Spatial sky continuum emission
| Spatial sky telluric CO2 absorption deviations (filled: H < 10)
|
6060058
| 47
| | Red | Green | Blue
| z | | 19.22
| znorm | | 15.04
| sky | 14.5 | 14.4 | 14.6
| S/N | 18.1 | 28.3 | 29.7
| S/N(c) | 16.9 | 27.0 | 28.5
| SN(E/C) | 0.60
|
|
|
|
|
|
|
6060059
| 47
| | Red | Green | Blue
| z | | 19.24
| znorm | | 15.06
| sky | 14.5 | 14.4 | 14.5
| S/N | 18.5 | 28.6 | 30.0
| S/N(c) | 17.3 | 27.4 | 28.5
| SN(E/C) | 0.59
|
|
|
|
|
|
|
6060060
| 47
| | Red | Green | Blue
| z | | 19.25
| znorm | | 15.07
| sky | 14.7 | 14.5 | 14.8
| S/N | 18.3 | 28.9 | 30.3
| S/N(c) | 17.1 | 27.5 | 28.7
| SN(E/C) | 0.59
|
|
|
|
|
|
|
6060061
| 47
| | Red | Green | Blue
| z | | 19.24
| znorm | | 15.06
| sky | 14.4 | 14.4 | 14.7
| S/N | 18.4 | 28.7 | 30.0
| S/N(c) | 17.3 | 27.4 | 28.6
| SN(E/C) | 0.59
|
|
|
|
|
|
|
6060062
| 47
| | Red | Green | Blue
| z | | 19.24
| znorm | | 15.05
| sky | 14.7 | 14.5 | 14.6
| S/N | 18.4 | 28.7 | 29.9
| S/N(c) | 17.0 | 27.2 | 28.5
| SN(E/C) | 0.60
|
|
|
|
|
|
|
6060063
| 47
| | Red | Green | Blue
| z | | 19.26
| znorm | | 15.08
| sky | 14.4 | 14.5 | 14.6
| S/N | 18.7 | 29.2 | 30.0
| S/N(c) | 17.4 | 27.8 | 28.8
| SN(E/C) | 0.53
|
|
|
|
|
|
|
6060064
| 47
| | Red | Green | Blue
| z | | 19.25
| znorm | | 15.07
| sky | 14.5 | 14.6 | 14.7
| S/N | 18.8 | 29.2 | 29.6
| S/N(c) | 17.6 | 27.8 | 28.7
| SN(E/C) | 0.63
|
|
|
|
|
|
|
6060065
| 47
| | Red | Green | Blue
| z | | 19.24
| znorm | | 15.06
| sky | 14.5 | 14.5 | 14.6
| S/N | 18.5 | 29.0 | 29.6
| S/N(c) | 17.0 | 27.7 | 28.7
| SN(E/C) | 0.59
|
|
|
|
|
|
|