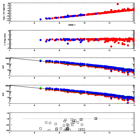
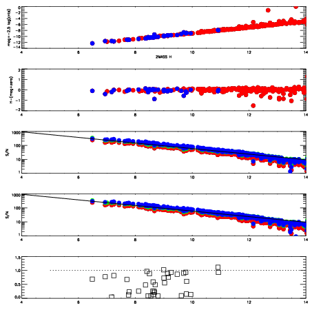
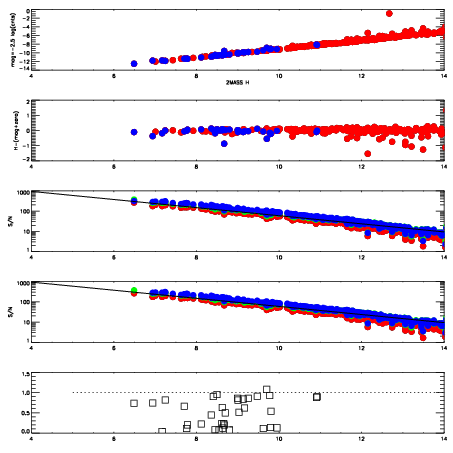
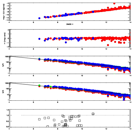
Left plots: red are targets, blue are telluric. Observed mags are calculated from median value of green chip. Zeropoint gives overall throughput: bigger number is more throughput.
First spatial plots: circles are objects, squares are tellurics, crosses are sky fibers. Colors give deviation of observed mag from expected 2MASS mag using the median zeropoint; red is brighter
Second spatial plots: circles are sky fibers. Colors give sky line brightness relative to plate median sky line brightness
FrameNreadsZeropointsMag plots Spatial mag deviation Spatial sky 16325A emission deviations (filled: sky, open: star) Spatial sky continuum emission Spatial sky telluric CO2 absorption deviations (filled: H < 10)
6120020 47
RedGreenBlue
z19.00
znorm14.82
sky 13.8 13.9 13.8
S/N 16.3 25.1 24.0
S/N(c) 15.2 23.9 22.5
SN(E/C) 0.57
6120021 47
RedGreenBlue
z19.19
znorm15.01
sky 14.1 14.3 14.5
S/N 18.6 28.6 27.9
S/N(c) 17.7 27.9 26.5
SN(E/C) 0.50
6120024 47
RedGreenBlue
z18.91
znorm14.73
sky 13.8 13.8 13.8
S/N 15.2 23.9 22.7
S/N(c) 14.3 23.1 21.5
SN(E/C) 0.59
6120025 47
RedGreenBlue
z19.10
znorm14.92
sky 14.4 14.4 14.6
S/N 17.3 27.4 26.7
S/N(c) 16.2 26.6 25.5
SN(E/C) 0.54