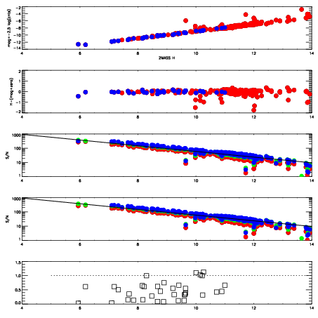
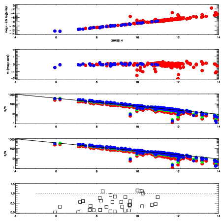
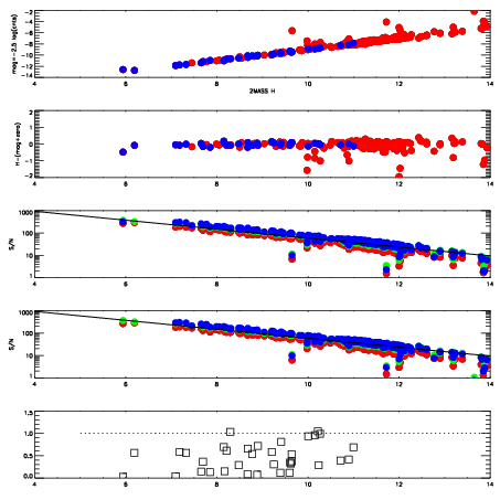
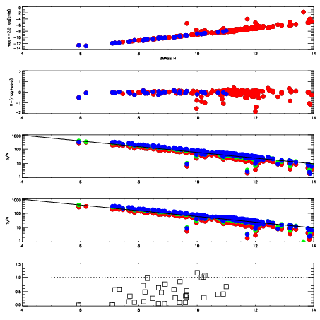
| Frame | Nreads | Zeropoints | Mag plots
| Spatial mag deviation
| Spatial sky 16325A emission deviations (filled: sky, open: star)
| Spatial sky continuum emission
| Spatial sky telluric CO2 absorption deviations (filled: H < 10)
|
| 9990037
| 47
| | Red | Green | Blue
| | z | | 18.49
| | znorm | | 14.31
| | sky | 14.3 | 14.1 | 14.0
| | S/N | 10.7 | 17.2 | 18.9
| | S/N(c) | 9.3 | 15.8 | 18.2
| | SN(E/C) | 0.52
|
|
|
|
|
|
|
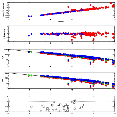
| 9990038
| 47
| | Red | Green | Blue
| | z | | 18.96
| | znorm | | 14.78
| | sky | 14.4 | 14.4 | 14.6
| | S/N | 14.3 | 23.0 | 25.8
| | S/N(c) | 12.9 | 21.4 | 23.4
| | SN(E/C) | 0.46
|
|
|
|
|
|
|
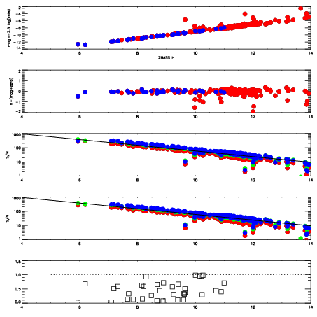
| 9990039
| 47
| | Red | Green | Blue
| | z | | 19.04
| | znorm | | 14.86
| | sky | 14.7 | 14.5 | 14.7
| | S/N | 15.6 | 23.9 | 26.8
| | S/N(c) | 14.0 | 22.8 | 25.1
| | SN(E/C) | 0.42
|
|
|
|
|
|
|
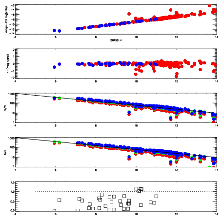
| 9990040
| 47
| | Red | Green | Blue
| | z | | 18.90
| | znorm | | 14.72
| | sky | 14.6 | 14.5 | 14.8
| | S/N | 13.9 | 22.2 | 24.5
| | S/N(c) | 12.6 | 20.9 | 22.6
| | SN(E/C) | 0.45
|
|
|
|
|
|
|
| 9990041
| 47
| | Red | Green | Blue
| | z | | 18.95
| | znorm | | 14.77
| | sky | 14.6 | 14.6 | 14.8
| | S/N | 14.3 | 23.0 | 25.6
| | S/N(c) | 13.1 | 21.9 | 23.7
| | SN(E/C) | 0.44
|
|
|
|
|
|
|
| 9990042
| 47
| | Red | Green | Blue
| | z | | 18.72
| | znorm | | 14.54
| | sky | 14.4 | 14.2 | 14.3
| | S/N | 12.3 | 20.0 | 22.3
| | S/N(c) | 10.9 | 18.9 | 20.6
| | SN(E/C) | 0.43
|
|
|
|
|
|
|
| 9990043
| 47
| | Red | Green | Blue
| | z | | 19.03
| | znorm | | 14.85
| | sky | 14.4 | 14.7 | 14.8
| | S/N | 14.9 | 23.9 | 26.7
| | S/N(c) | 13.8 | 23.0 | 25.0
| | SN(E/C) | 0.44
|
|
|
|
|
|
|
| 9990044
| 47
| | Red | Green | Blue
| | z | | 19.00
| | znorm | | 14.82
| | sky | 14.5 | 14.6 | 14.6
| | S/N | 14.8 | 23.5 | 26.1
| | S/N(c) | 13.7 | 22.4 | 24.3
| | SN(E/C) | 0.41
|
|
|
|
|
|
|