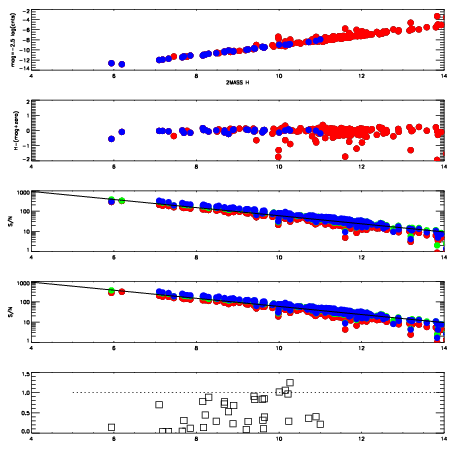
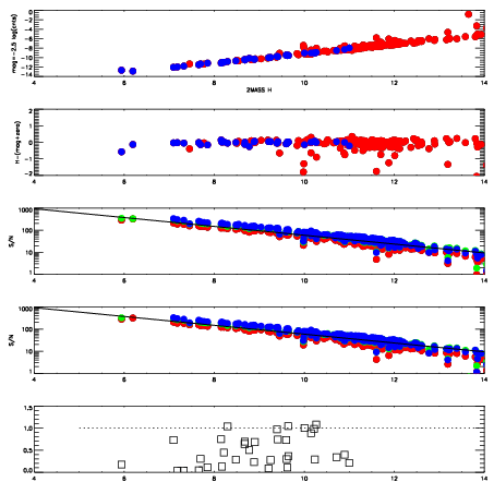
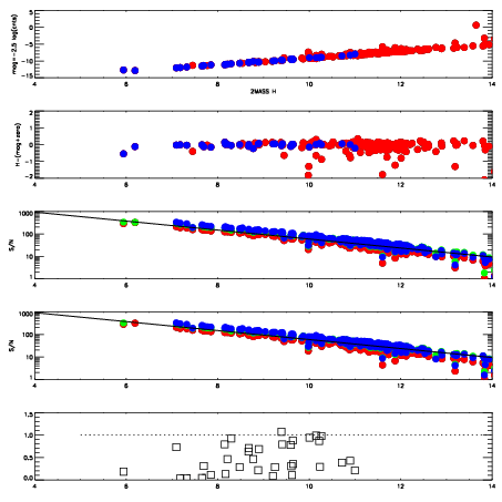
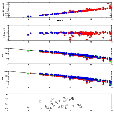
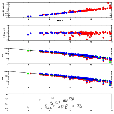
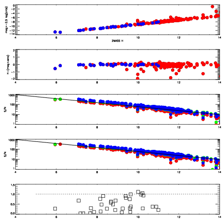
| Frame | Nreads | Zeropoints | Mag plots
| Spatial mag deviation
| Spatial sky 16325A emission deviations (filled: sky, open: star)
| Spatial sky continuum emission
| Spatial sky telluric CO2 absorption deviations (filled: H < 10)
|
| 6740010
| 47
| | Red | Green | Blue
| | z | | 18.97
| | znorm | | 14.79
| | sky | 14.7 | 14.5 | 14.2
| | S/N | 16.0 | 24.6 | 24.8
| | S/N(c) | 13.8 | 22.5 | 23.6
| | SN(E/C) | 0.44
|
|
|
|
|
|
|
| 6740011
| 47
| | Red | Green | Blue
| | z | | 19.03
| | znorm | | 14.85
| | sky | 14.8 | 14.6 | 14.7
| | S/N | 16.1 | 25.6 | 26.4
| | S/N(c) | 14.0 | 23.1 | 24.3
| | SN(E/C) | 0.40
|
|
|
|
|
|
|
| 6740012
| 47
| | Red | Green | Blue
| | z | | 19.10
| | znorm | | 14.92
| | sky | 14.8 | 14.6 | 14.5
| | S/N | 17.0 | 26.4 | 27.1
| | S/N(c) | 14.7 | 24.1 | 25.8
| | SN(E/C) | 0.40
|
|
|
|
|
|
|
| 6740013
| 47
| | Red | Green | Blue
| | z | | 19.16
| | znorm | | 14.98
| | sky | 14.7 | 14.6 | 14.5
| | S/N | 17.4 | 27.2 | 28.2
| | S/N(c) | 15.2 | 24.8 | 26.5
| | SN(E/C) | 0.43
|
|
|
|
|
|
|
| 6740014
| 47
| | Red | Green | Blue
| | z | | 19.17
| | znorm | | 14.99
| | sky | 14.8 | 14.6 | 14.5
| | S/N | 17.4 | 27.2 | 28.5
| | S/N(c) | 15.1 | 25.1 | 26.7
| | SN(E/C) | 0.39
|
|
|
|
|
|
|
| 6740015
| 47
| | Red | Green | Blue
| | z | | 19.16
| | znorm | | 14.98
| | sky | 14.7 | 14.6 | 14.6
| | S/N | 17.2 | 27.2 | 28.4
| | S/N(c) | 15.1 | 24.8 | 26.7
| | SN(E/C) | 0.40
|
|
|
|
|
|
|
| 6740016
| 47
| | Red | Green | Blue
| | z | | 19.18
| | znorm | | 15.00
| | sky | 14.7 | 14.7 | 14.5
| | S/N | 17.6 | 27.6 | 28.9
| | S/N(c) | 15.7 | 25.3 | 27.1
| | SN(E/C) | 0.37
|
|
|
|
|
|
|
| 6740017
| 47
| | Red | Green | Blue
| | z | | 19.10
| | znorm | | 14.92
| | sky | 14.7 | 14.8 | 14.6
| | S/N | 16.6 | 26.3 | 27.6
| | S/N(c) | 14.6 | 24.2 | 25.8
| | SN(E/C) | 0.37
|
|
|
|
|
|
|