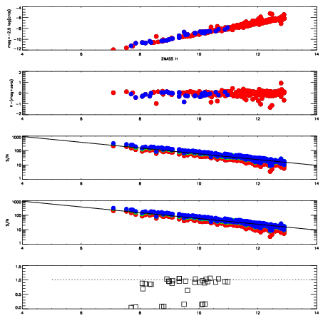
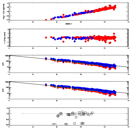
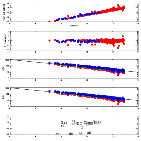
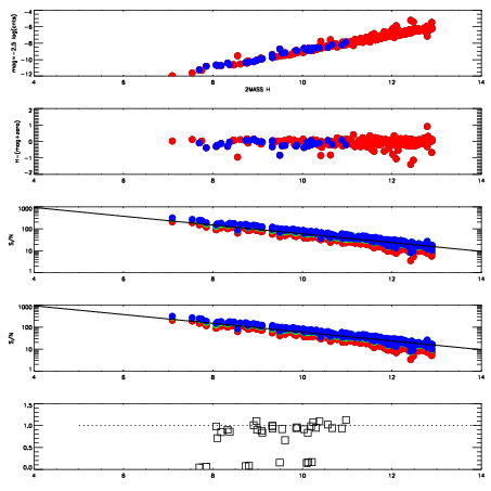
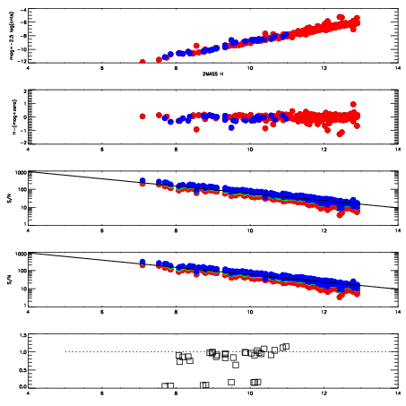
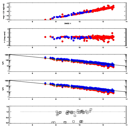
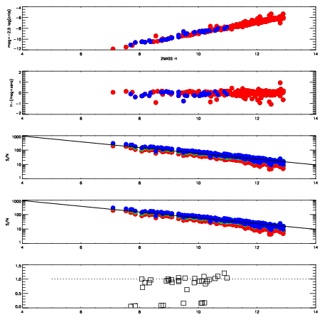
| Frame | Nreads | Zeropoints | Mag plots
| Spatial mag deviation
| Spatial sky 16325A emission deviations (filled: sky, open: star)
| Spatial sky continuum emission
| Spatial sky telluric CO2 absorption deviations (filled: H < 10)
|
| 7610011
| 47
| | Red | Green | Blue
| | z | | 18.96
| | znorm | | 14.77
| | sky | 14.8 | 14.4 | 14.4
| | S/N | 15.7 | 25.3 | 25.8
| | S/N(c) | 14.1 | 23.6 | 24.6
| | SN(E/C) | 0.93
|
|
|
|
|
|
|
| 7610012
| 47
| | Red | Green | Blue
| | z | | 19.04
| | znorm | | 14.86
| | sky | 14.8 | 14.6 | 14.8
| | S/N | 16.0 | 25.2 | 26.5
| | S/N(c) | 14.5 | 23.7 | 25.3
| | SN(E/C) | 0.92
|
|
|
|
|
|
|
| 7610013
| 47
| | Red | Green | Blue
| | z | | 19.03
| | znorm | | 14.85
| | sky | 14.9 | 14.8 | 14.9
| | S/N | 15.7 | 25.1 | 26.3
| | S/N(c) | 14.3 | 23.4 | 25.0
| | SN(E/C) | 0.91
|
|
|
|
|
|
|
| 7610014
| 47
| | Red | Green | Blue
| | z | | 18.99
| | znorm | | 14.81
| | sky | 14.9 | 15.0 | 15.0
| | S/N | 15.6 | 24.7 | 25.9
| | S/N(c) | 14.0 | 23.1 | 24.7
| | SN(E/C) | 0.91
|
|
|
|
|
|
|
| 7610015
| 47
| | Red | Green | Blue
| | z | | 18.94
| | znorm | | 14.76
| | sky | 15.1 | 15.1 | 15.1
| | S/N | 15.1 | 24.1 | 25.1
| | S/N(c) | 13.6 | 22.6 | 24.0
| | SN(E/C) | 0.92
|
|
|
|
|
|
|
| 7610016
| 47
| | Red | Green | Blue
| | z | | 18.87
| | znorm | | 14.69
| | sky | 14.8 | 15.0 | 15.2
| | S/N | 14.3 | 23.1 | 24.3
| | S/N(c) | 13.0 | 21.8 | 23.5
| | SN(E/C) | 0.92
|
|
|
|
|
|
|
| 7610017
| 47
| | Red | Green | Blue
| | z | | 18.89
| | znorm | | 14.71
| | sky | 14.9 | 15.1 | 15.2
| | S/N | 14.3 | 23.6 | 24.5
| | S/N(c) | 13.2 | 22.1 | 23.4
| | SN(E/C) | 0.89
|
|
|
|
|
|
|
| 7610018
| 47
| | Red | Green | Blue
| | z | | 18.94
| | znorm | | 14.76
| | sky | 15.1 | 15.0 | 15.4
| | S/N | 14.9 | 24.3 | 25.3
| | S/N(c) | 13.5 | 22.9 | 24.2
| | SN(E/C) | 0.91
|
|
|
|
|
|
|