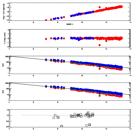
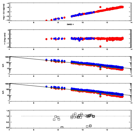
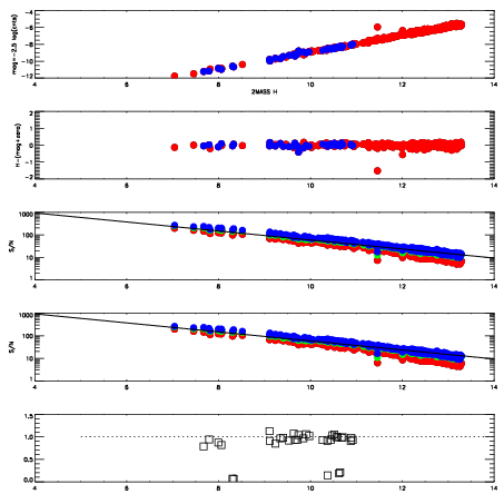
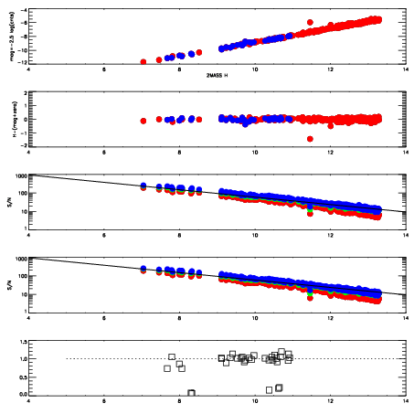
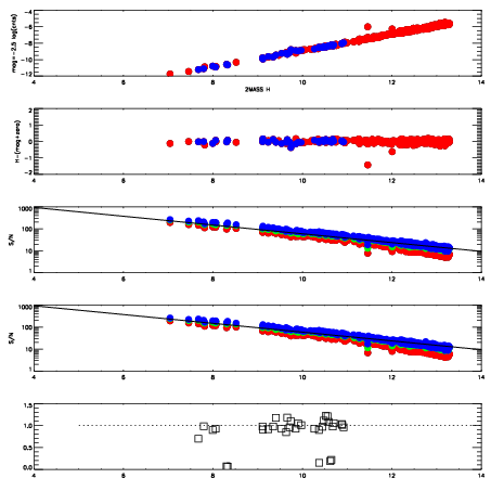
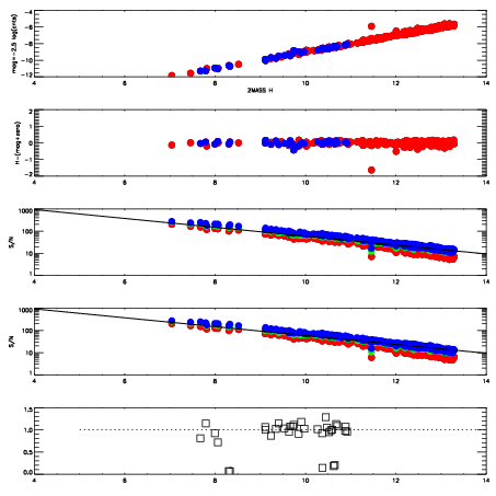
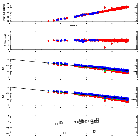
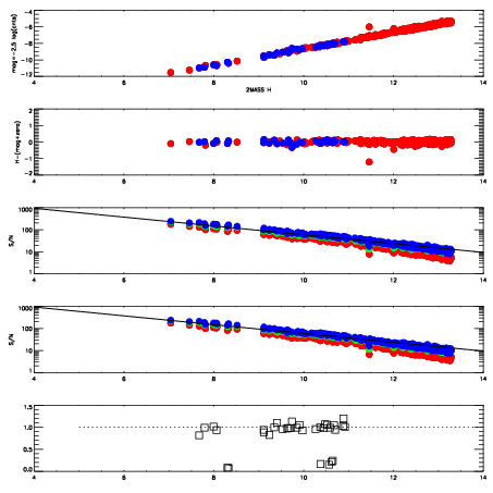
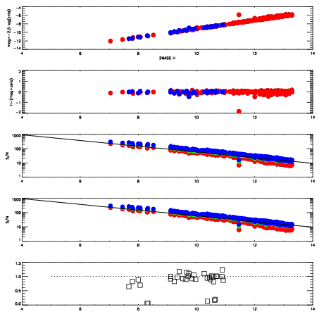
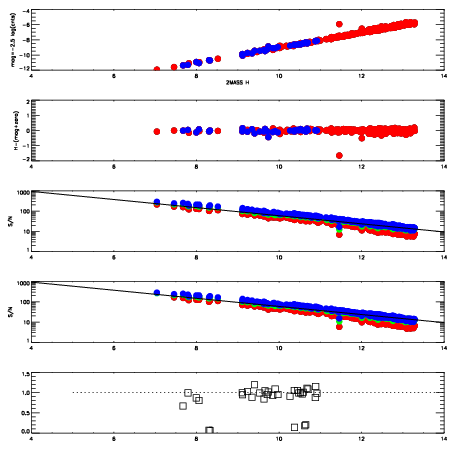
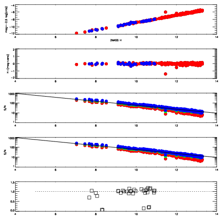
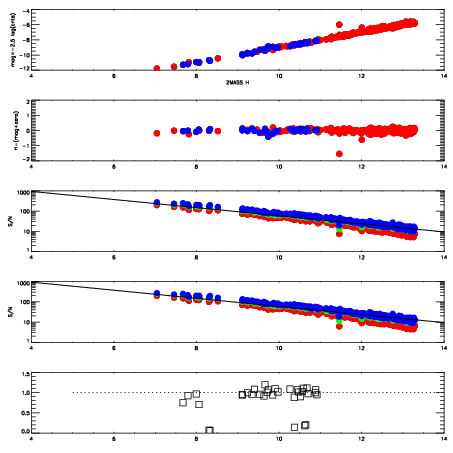
| Frame | Nreads | Zeropoints | Mag plots
| Spatial mag deviation
| Spatial sky 16325A emission deviations (filled: sky, open: star)
| Spatial sky continuum emission
| Spatial sky telluric CO2 absorption deviations (filled: H < 10)
|
| 6410042
| 47
| | Red | Green | Blue
| | z | | 19.00
| | znorm | | 14.82
| | sky | 15.0 | 14.5 | 14.6
| | S/N | 15.7 | 25.1 | 26.2
| | S/N(c) | 13.8 | 23.3 | 24.5
| | SN(E/C) | 0.96
|
|
|
|
|
|
|
| 6410043
| 47
| | Red | Green | Blue
| | z | | 18.96
| | znorm | | 14.78
| | sky | 15.0 | 14.6 | 15.0
| | S/N | 15.3 | 24.5 | 25.9
| | S/N(c) | 13.5 | 22.6 | 24.2
| | SN(E/C) | 0.99
|
|
|
|
|
|
|
| 6410044
| 47
| | Red | Green | Blue
| | z | | 18.97
| | znorm | | 14.79
| | sky | 14.9 | 14.7 | 15.2
| | S/N | 15.2 | 24.9 | 26.2
| | S/N(c) | 13.4 | 22.8 | 24.4
| | SN(E/C) | 0.96
|
|
|
|
|
|
|
| 6410045
| 47
| | Red | Green | Blue
| | z | | 18.90
| | znorm | | 14.72
| | sky | 14.9 | 14.8 | 15.4
| | S/N | 14.5 | 23.9 | 25.2
| | S/N(c) | 12.9 | 22.0 | 23.3
| | SN(E/C) | 0.97
|
|
|
|
|
|
|
| 6410046
| 47
| | Red | Green | Blue
| | z | | 18.85
| | znorm | | 14.67
| | sky | 14.9 | 14.8 | 15.2
| | S/N | 14.0 | 23.2 | 24.3
| | S/N(c) | 12.4 | 21.4 | 22.5
| | SN(E/C) | 1.01
|
|
|
|
|
|
|
| 6410047
| 47
| | Red | Green | Blue
| | z | | 18.93
| | znorm | | 14.75
| | sky | 14.9 | 14.9 | 15.3
| | S/N | 14.9 | 24.3 | 25.6
| | S/N(c) | 12.9 | 22.4 | 23.6
| | SN(E/C) | 0.94
|
|
|
|
|
|
|
| 6410048
| 47
| | Red | Green | Blue
| | z | | 18.67
| | znorm | | 14.49
| | sky | 14.8 | 14.8 | 15.3
| | S/N | 12.5 | 21.1 | 21.9
| | S/N(c) | 10.8 | 19.3 | 19.9
| | SN(E/C) | 0.98
|
|
|
|
|
|
|
| 6410049
| 47
| | Red | Green | Blue
| | z | | 18.86
| | znorm | | 14.68
| | sky | 15.0 | 14.8 | 15.2
| | S/N | 14.0 | 23.7 | 24.6
| | S/N(c) | 12.4 | 21.7 | 22.9
| | SN(E/C) | 1.02
|
|
|
|
|
|
|
| 6410050
| 47
| | Red | Green | Blue
| | z | | 19.01
| | znorm | | 14.83
| | sky | 14.6 | 14.8 | 15.2
| | S/N | 15.3 | 25.6 | 27.1
| | S/N(c) | 13.6 | 23.8 | 24.8
| | SN(E/C) | 1.00
|
|
|
|
|
|
|
| 6410051
| 47
| | Red | Green | Blue
| | z | | 19.10
| | znorm | | 14.92
| | sky | 14.7 | 14.8 | 15.1
| | S/N | 16.3 | 27.0 | 28.4
| | S/N(c) | 14.4 | 24.9 | 26.3
| | SN(E/C) | 0.96
|
|
|
|
|
|
|
| 6410052
| 47
| | Red | Green | Blue
| | z | | 19.04
| | znorm | | 14.86
| | sky | 15.2 | 14.9 | 15.1
| | S/N | 16.0 | 25.8 | 27.2
| | S/N(c) | 14.0 | 23.3 | 24.9
| | SN(E/C) | 0.98
|
|
|
|
|
|
|
| 6410053
| 47
| | Red | Green | Blue
| | z | | 19.17
| | znorm | | 14.99
| | sky | 14.6 | 14.7 | 15.0
| | S/N | 17.0 | 27.9 | 29.4
| | S/N(c) | 15.0 | 25.4 | 27.1
| | SN(E/C) | 0.92
|
|
|
|
|
|
|