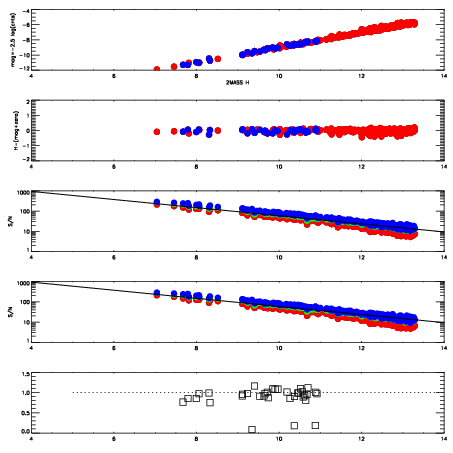
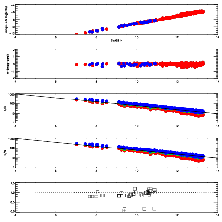
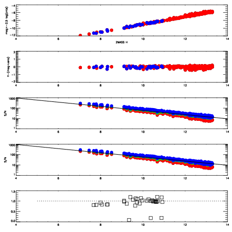
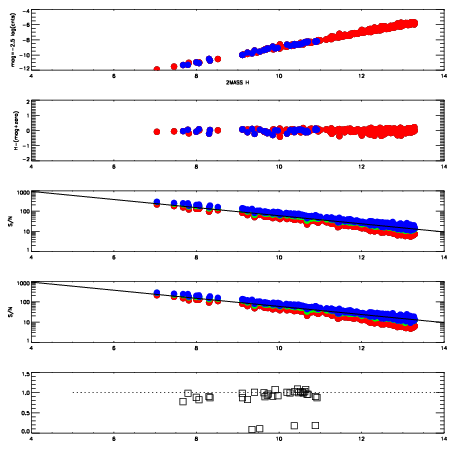
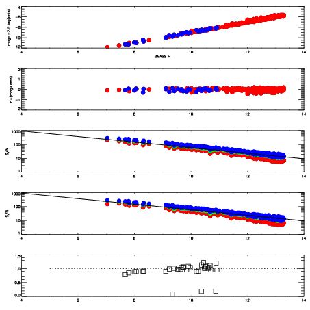
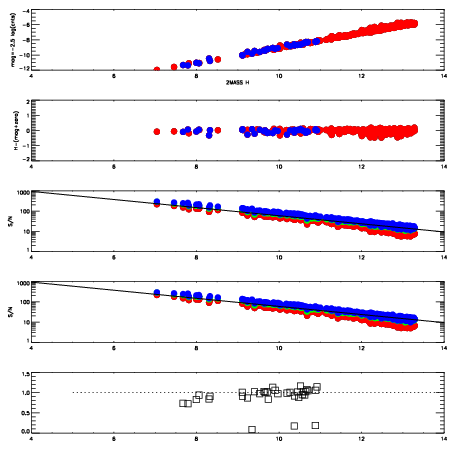
Frame | Nreads | Zeropoints | Mag plots
| Spatial mag deviation
| Spatial sky 16325A emission deviations (filled: sky, open: star)
| Spatial sky continuum emission
| Spatial sky telluric CO2 absorption deviations (filled: H < 10)
|
6610047
| 47
| | Red | Green | Blue
| z | | 19.03
| znorm | | 14.85
| sky | 15.1 | 14.6 | 15.3
| S/N | 14.7 | 24.2 | 26.2
| S/N(c) | 12.9 | 22.9 | 24.3
| SN(E/C) | 0.96
|
|
|
|
|
|
|
6610048
| 47
| | Red | Green | Blue
| z | | 19.03
| znorm | | 14.85
| sky | 14.8 | 14.6 | 15.3
| S/N | 14.5 | 24.3 | 26.0
| S/N(c) | 12.8 | 23.3 | 24.4
| SN(E/C) | 0.97
|
|
|
|
|
|
|
6610049
| 47
| | Red | Green | Blue
| z | | 19.04
| znorm | | 14.86
| sky | 15.0 | 14.7 | 15.4
| S/N | 14.6 | 24.1 | 25.6
| S/N(c) | 12.6 | 23.0 | 23.9
| SN(E/C) | 0.96
|
|
|
|
|
|
|
6610050
| 47
| | Red | Green | Blue
| z | | 19.02
| znorm | | 14.84
| sky | 15.0 | 14.8 | 15.3
| S/N | 14.4 | 23.9 | 25.8
| S/N(c) | 12.6 | 22.6 | 24.0
| SN(E/C) | 0.98
|
|
|
|
|
|
|
6610051
| 47
| | Red | Green | Blue
| z | | 19.03
| znorm | | 14.85
| sky | 14.7 | 14.8 | 15.4
| S/N | 14.6 | 24.1 | 26.1
| S/N(c) | 12.7 | 22.7 | 24.1
| SN(E/C) | 0.98
|
|
|
|
|
|
|
6610052
| 47
| | Red | Green | Blue
| z | | 19.05
| znorm | | 14.87
| sky | 14.7 | 14.8 | 15.3
| S/N | 14.8 | 24.4 | 26.1
| S/N(c) | 12.8 | 23.3 | 24.3
| SN(E/C) | 0.96
|
|
|
|
|
|
|
6610053
| 47
| | Red | Green | Blue
| z | | 19.08
| znorm | | 14.90
| sky | 15.0 | 14.8 | 15.4
| S/N | 15.3 | 24.6 | 26.7
| S/N(c) | 13.6 | 23.2 | 24.9
| SN(E/C) | 0.97
|
|
|
|
|
|
|
6610054
| 47
| | Red | Green | Blue
| z | | 19.10
| znorm | | 14.92
| sky | 14.8 | 15.0 | 15.4
| S/N | 15.3 | 25.3 | 27.4
| S/N(c) | 13.4 | 23.8 | 25.7
| SN(E/C) | 0.91
|
|
|
|
|
|
|