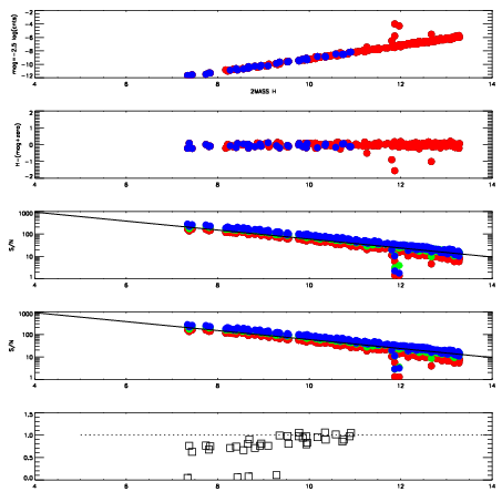
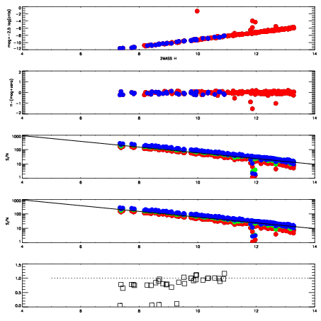
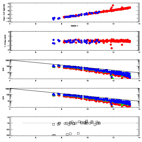
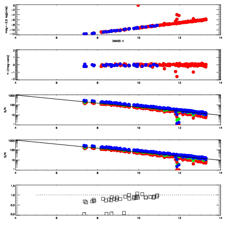
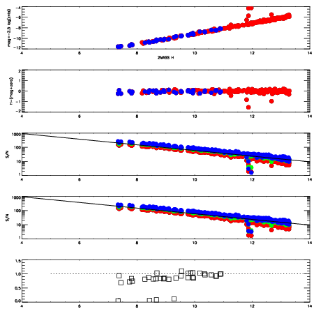
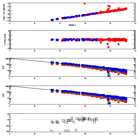
| Frame | Nreads | Zeropoints | Mag plots
| Spatial mag deviation
| Spatial sky 16325A emission deviations (filled: sky, open: star)
| Spatial sky continuum emission
| Spatial sky telluric CO2 absorption deviations (filled: H < 10)
|
| 6110069
| 47
| | Red | Green | Blue
| | z | | 19.15
| | znorm | | 14.97
| | sky | 14.5 | 14.3 | 14.4
| | S/N | 16.9 | 26.4 | 30.2
| | S/N(c) | 15.2 | 24.7 | 29.5
| | SN(E/C) | 0.86
|
|
|
|
|
|
|
| 6110070
| 47
| | Red | Green | Blue
| | z | | 19.14
| | znorm | | 14.96
| | sky | 14.5 | 14.3 | 14.5
| | S/N | 16.2 | 26.1 | 30.1
| | S/N(c) | 14.5 | 24.1 | 29.4
| | SN(E/C) | 0.90
|
|
|
|
|
|
|
| 6110071
| 47
| | Red | Green | Blue
| | z | | 19.21
| | znorm | | 15.03
| | sky | 14.4 | 14.5 | 14.5
| | S/N | 17.3 | 27.7 | 31.1
| | S/N(c) | 15.5 | 25.6 | 30.3
| | SN(E/C) | 0.81
|
|
|
|
|
|
|
| 6110072
| 47
| | Red | Green | Blue
| | z | | 19.22
| | znorm | | 15.04
| | sky | 14.6 | 14.4 | 14.4
| | S/N | 17.3 | 28.2 | 31.3
| | S/N(c) | 15.4 | 26.0 | 30.4
| | SN(E/C) | 0.83
|
|
|
|
|
|
|
| 6110073
| 47
| | Red | Green | Blue
| | z | | 19.19
| | znorm | | 15.01
| | sky | 14.4 | 14.6 | 14.4
| | S/N | 16.9 | 27.5 | 30.6
| | S/N(c) | 15.1 | 25.4 | 29.8
| | SN(E/C) | 0.86
|
|
|
|
|
|
|
| 6110074
| 47
| | Red | Green | Blue
| | z | | 18.55
| | znorm | | 14.37
| | sky | 13.4 | 13.4 | 13.3
| | S/N | 10.7 | 17.8 | 20.2
| | S/N(c) | 9.4 | 16.8 | 19.2
| | SN(E/C) | 0.95
|
|
|
|
|
|
|
| 6110075
| 47
| | Red | Green | Blue
| | z | | 17.82
| | znorm | | 13.64
| | sky | 12.8 | 12.8 | 12.7
| | S/N | 4.9 | 9.4 | 9.5
| | S/N(c) | 4.4 | 8.3 | 9.9
| | SN(E/C) | 0.99
|
|
|
|
|
|
|
| 6110076
| 47
| | Red | Green | Blue
| | z | | 16.54
| | znorm | | 12.36
| | sky | 12.6 | 12.6 | 12.6
| | S/N | 1.3 | 2.8 | 3.1
| | S/N(c) | 1.4 | 2.8 | 3.2
| | SN(E/C) | 1.05
|
|
|
|
|
|
|