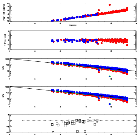
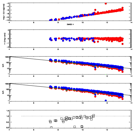
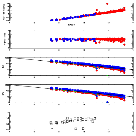
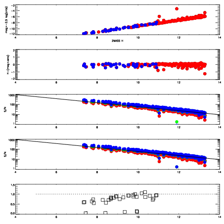
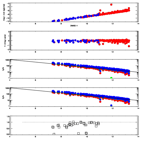
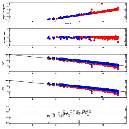
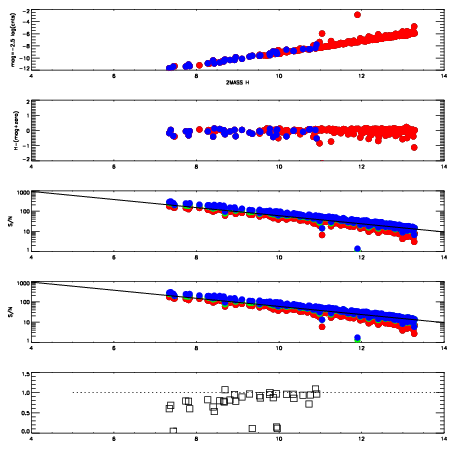
| Frame | Nreads | Zeropoints | Mag plots
| Spatial mag deviation
| Spatial sky 16325A emission deviations (filled: sky, open: star)
| Spatial sky continuum emission
| Spatial sky telluric CO2 absorption deviations (filled: H < 10)
|
| 6130011
| 47
| | Red | Green | Blue
| | z | | 19.15
| | znorm | | 14.97
| | sky | 14.4 | 14.5 | 14.5
| | S/N | 19.1 | 28.8 | 30.9
| | S/N(c) | 17.5 | 27.4 | 29.4
| | SN(E/C) | 0.80
|
|
|
|
|
|
|
| 6130012
| 47
| | Red | Green | Blue
| | z | | 19.22
| | znorm | | 15.04
| | sky | 14.6 | 14.8 | 14.8
| | S/N | 19.4 | 29.7 | 31.8
| | S/N(c) | 17.7 | 28.3 | 30.3
| | SN(E/C) | 0.80
|
|
|
|
|
|
|
| 6130013
| 47
| | Red | Green | Blue
| | z | | 19.25
| | znorm | | 15.07
| | sky | 14.3 | 14.7 | 14.9
| | S/N | 19.7 | 30.3 | 32.5
| | S/N(c) | 17.9 | 28.8 | 30.8
| | SN(E/C) | 0.75
|
|
|
|
|
|
|
| 6130014
| 47
| | Red | Green | Blue
| | z | | 19.24
| | znorm | | 15.06
| | sky | 14.6 | 14.7 | 15.0
| | S/N | 19.5 | 30.0 | 32.4
| | S/N(c) | 17.7 | 28.7 | 30.8
| | SN(E/C) | 0.80
|
|
|
|
|
|
|
| 6130015
| 47
| | Red | Green | Blue
| | z | | 19.19
| | znorm | | 15.01
| | sky | 14.6 | 14.7 | 15.1
| | S/N | 19.1 | 29.3 | 31.5
| | S/N(c) | 17.4 | 27.7 | 29.5
| | SN(E/C) | 0.82
|
|
|
|
|
|
|
| 6130016
| 47
| | Red | Green | Blue
| | z | | 19.21
| | znorm | | 15.03
| | sky | 14.3 | 14.7 | 15.1
| | S/N | 19.1 | 29.5 | 31.8
| | S/N(c) | 17.5 | 28.1 | 30.0
| | SN(E/C) | 0.87
|
|
|
|
|
|
|
| 6130017
| 47
| | Red | Green | Blue
| | z | | 19.17
| | znorm | | 14.99
| | sky | 14.5 | 14.8 | 15.2
| | S/N | 18.9 | 29.0 | 31.2
| | S/N(c) | 17.1 | 27.4 | 29.4
| | SN(E/C) | 0.81
|
|
|
|
|
|
|
| 6130018
| 47
| | Red | Green | Blue
| | z | | 19.17
| | znorm | | 14.99
| | sky | 14.6 | 14.9 | 15.1
| | S/N | 18.9 | 29.2 | 31.1
| | S/N(c) | 17.3 | 27.2 | 29.6
| | SN(E/C) | 0.80
|
|
|
|
|
|
|