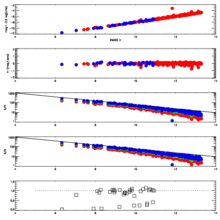
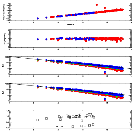
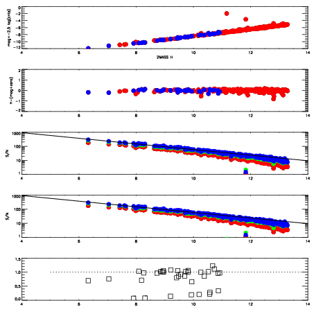
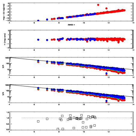
| Frame | Nreads | Zeropoints | Mag plots
| Spatial mag deviation
| Spatial sky 16325A emission deviations (filled: sky, open: star)
| Spatial sky continuum emission
| Spatial sky telluric CO2 absorption deviations (filled: H < 10)
|
| 6620032
| 47
| | Red | Green | Blue
| | z | | 18.60
| | znorm | | 14.42
| | sky | 14.6 | 14.2 | 14.6
| | S/N | 11.3 | 18.6 | 22.1
| | S/N(c) | 9.7 | 17.2 | 20.1
| | SN(E/C) | 0.87
|
|
|
|
|
|
|
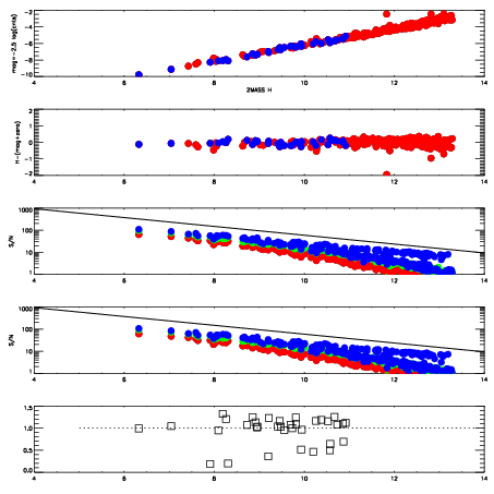
| 6620033
| 47
| | Red | Green | Blue
| | z | | 18.67
| | znorm | | 14.49
| | sky | 14.3 | 14.2 | 14.7
| | S/N | 12.0 | 19.3 | 22.7
| | S/N(c) | 10.5 | 17.7 | 21.3
| | SN(E/C) | 0.95
|
|
|
|
|
|
|
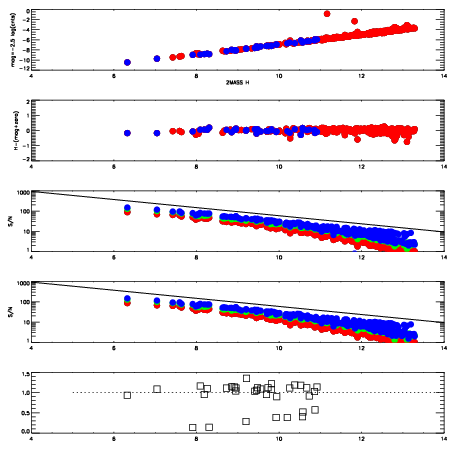
| 6620034
| 47
| | Red | Green | Blue
| | z | | 18.43
| | znorm | | 14.25
| | sky | 14.3 | 14.1 | 14.5
| | S/N | 10.1 | 17.1 | 19.8
| | S/N(c) | 8.7 | 15.8 | 18.4
| | SN(E/C) | 0.96
|
|
|
|
|
|
|
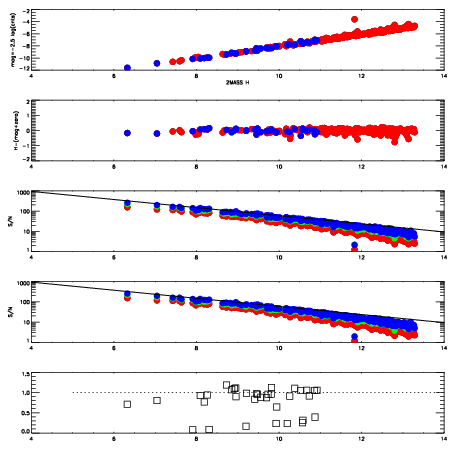
| 6620035
| 47
| | Red | Green | Blue
| | z | | 18.20
| | znorm | | 14.02
| | sky | 14.2 | 14.2 | 14.4
| | S/N | 8.1 | 14.5 | 17.5
| | S/N(c) | 7.1 | 13.4 | 15.9
| | SN(E/C) | 0.92
|
|
|
|
|
|
|
| 6620036
| 47
| | Red | Green | Blue
| | z | | 16.23
| | znorm | | 12.05
| | sky | 13.7 | 13.8 | 14.1
| | S/N | 1.5 | 3.2 | 4.3
| | S/N(c) | 1.4 | 2.9 | 3.7
| | SN(E/C) | 1.04
|
|
|
|
|
|
|
| 6620037
| 47
| | Red | Green | Blue
| | z | | 18.00
| | znorm | | 13.81
| | sky | 14.3 | 14.2 | 14.5
| | S/N | 7.0 | 12.5 | 15.2
| | S/N(c) | 5.8 | 11.3 | 13.9
| | SN(E/C) | 0.94
|
|
|
|
|
|
|
| 6620038
| 47
| | Red | Green | Blue
| | z | | 16.94
| | znorm | | 12.76
| | sky | 13.9 | 13.9 | 14.4
| | S/N | 2.8 | 5.7 | 7.4
| | S/N(c) | 2.5 | 5.2 | 6.3
| | SN(E/C) | 1.08
|
|
|
|
|
|
|
| 6620039
| 47
| | Red | Green | Blue
| | z | | 18.10
| | znorm | | 13.92
| | sky | 14.5 | 14.3 | 14.7
| | S/N | 7.8 | 13.8 | 16.3
| | S/N(c) | 6.8 | 12.6 | 14.7
| | SN(E/C) | 0.92
|
|
|
|
|
|
|