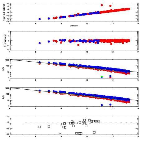
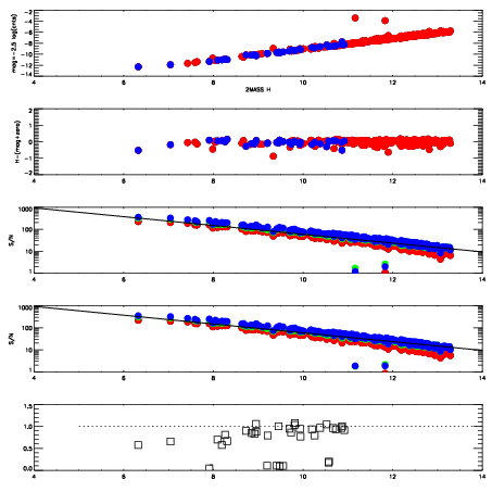
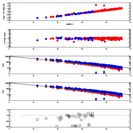
| Frame | Nreads | Zeropoints | Mag plots
| Spatial mag deviation
| Spatial sky 16325A emission deviations (filled: sky, open: star)
| Spatial sky continuum emission
| Spatial sky telluric CO2 absorption deviations (filled: H < 10)
|
| 6950010
| 47
| | Red | Green | Blue
| | z | | 19.01
| | znorm | | 14.83
| | sky | 14.2 | 13.9 | 13.8
| | S/N | 16.3 | 23.7 | 25.6
| | S/N(c) | 14.2 | 21.9 | 24.0
| | SN(E/C) | 0.92
|
|
|
|
|
|
|
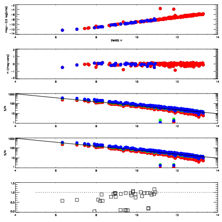
| 6950011
| 47
| | Red | Green | Blue
| | z | | 19.04
| | znorm | | 14.86
| | sky | 14.5 | 14.1 | 14.1
| | S/N | 16.5 | 23.8 | 26.5
| | S/N(c) | 14.2 | 21.8 | 24.8
| | SN(E/C) | 0.86
|
|
|
|
|
|
|
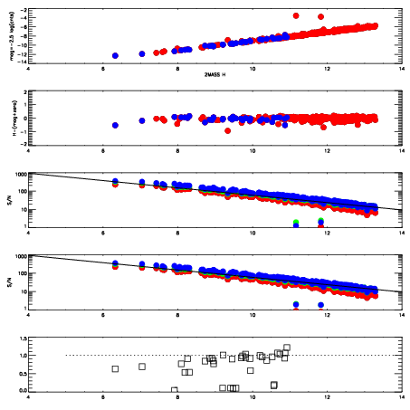
| 6950012
| 47
| | Red | Green | Blue
| | z | | 19.10
| | znorm | | 14.92
| | sky | 14.4 | 14.2 | 14.1
| | S/N | 16.6 | 24.6 | 27.4
| | S/N(c) | 14.5 | 22.3 | 25.5
| | SN(E/C) | 0.91
|
|
|
|
|
|
|
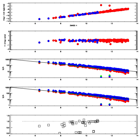
| 6950013
| 47
| | Red | Green | Blue
| | z | | 19.10
| | znorm | | 14.92
| | sky | 14.5 | 14.1 | 14.2
| | S/N | 16.6 | 24.3 | 27.6
| | S/N(c) | 14.5 | 22.3 | 25.7
| | SN(E/C) | 0.89
|
|
|
|
|
|
|
| 6950014
| 47
| | Red | Green | Blue
| | z | | 19.13
| | znorm | | 14.95
| | sky | 14.4 | 14.2 | 14.2
| | S/N | 16.7 | 24.8 | 27.7
| | S/N(c) | 14.8 | 22.7 | 26.1
| | SN(E/C) | 0.87
|
|
|
|
|
|
|
| 6950015
| 47
| | Red | Green | Blue
| | z | | 19.13
| | znorm | | 14.95
| | sky | 14.4 | 14.2 | 14.2
| | S/N | 16.8 | 24.8 | 28.3
| | S/N(c) | 14.5 | 22.6 | 26.0
| | SN(E/C) | 0.85
|
|
|
|
|
|
|
| 6950016
| 47
| | Red | Green | Blue
| | z | | 19.14
| | znorm | | 14.96
| | sky | 14.4 | 14.3 | 14.2
| | S/N | 16.8 | 25.0 | 27.9
| | S/N(c) | 14.6 | 22.8 | 26.2
| | SN(E/C) | 0.89
|
|
|
|
|
|
|
| 6950017
| 47
| | Red | Green | Blue
| | z | | 19.10
| | znorm | | 14.92
| | sky | 14.4 | 14.2 | 14.2
| | S/N | 16.4 | 24.5 | 27.6
| | S/N(c) | 14.4 | 22.3 | 25.7
| | SN(E/C) | 0.91
|
|
|
|
|
|
|