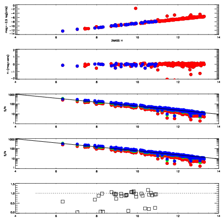
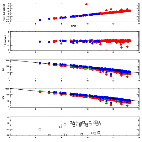
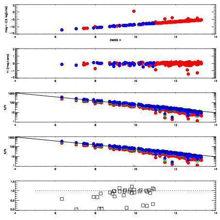
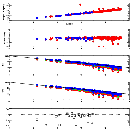
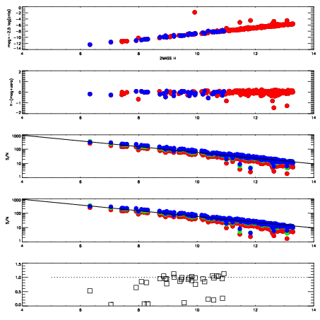
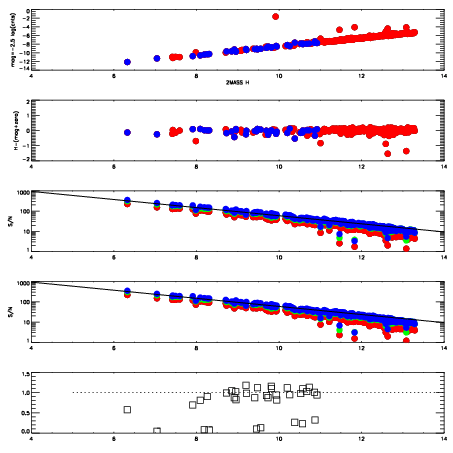
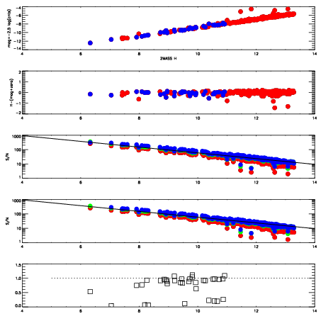
Frame | Nreads | Zeropoints | Mag plots
| Spatial mag deviation
| Spatial sky 16325A emission deviations (filled: sky, open: star)
| Spatial sky continuum emission
| Spatial sky telluric CO2 absorption deviations (filled: H < 10)
|
6720010
| 47
| | Red | Green | Blue
| z | | 18.63
| znorm | | 14.45
| sky | 14.6 | 14.3 | 14.4
| S/N | 12.0 | 20.9 | 21.1
| S/N(c) | 10.0 | 18.8 | 19.6
| SN(E/C) | 0.91
|
|
|
|
|
|
|
6720011
| 47
| | Red | Green | Blue
| z | | 18.57
| znorm | | 14.39
| sky | 14.6 | 14.5 | 14.6
| S/N | 11.3 | 19.9 | 20.5
| S/N(c) | 9.5 | 18.0 | 18.9
| SN(E/C) | 0.93
|
|
|
|
|
|
|
6720012
| 47
| | Red | Green | Blue
| z | | 18.87
| znorm | | 14.69
| sky | 14.7 | 14.5 | 14.6
| S/N | 13.8 | 23.1 | 24.0
| S/N(c) | 11.7 | 20.9 | 22.4
| SN(E/C) | 0.93
|
|
|
|
|
|
|
6720013
| 47
| | Red | Green | Blue
| z | | 18.91
| znorm | | 14.73
| sky | 14.5 | 14.4 | 14.7
| S/N | 14.0 | 23.7 | 24.5
| S/N(c) | 12.2 | 21.5 | 23.1
| SN(E/C) | 0.89
|
|
|
|
|
|
|
6720014
| 47
| | Red | Green | Blue
| z | | 18.72
| znorm | | 14.54
| sky | 14.4 | 14.4 | 14.5
| S/N | 12.5 | 21.4 | 22.4
| S/N(c) | 10.7 | 19.4 | 20.6
| SN(E/C) | 0.93
|
|
|
|
|
|
|
6720015
| 47
| | Red | Green | Blue
| z | | 18.93
| znorm | | 14.75
| sky | 14.5 | 14.6 | 14.8
| S/N | 14.1 | 23.9 | 25.1
| S/N(c) | 12.4 | 21.9 | 23.5
| SN(E/C) | 0.91
|
|
|
|
|
|
|
6720016
| 47
| | Red | Green | Blue
| z | | 18.82
| znorm | | 14.64
| sky | 14.6 | 14.5 | 14.8
| S/N | 13.2 | 22.4 | 23.6
| S/N(c) | 11.3 | 20.5 | 22.0
| SN(E/C) | 0.92
|
|
|
|
|
|
|
6720017
| 47
| | Red | Green | Blue
| z | | 18.55
| znorm | | 14.37
| sky | 14.4 | 14.4 | 14.6
| S/N | 10.5 | 18.6 | 20.0
| S/N(c) | 9.0 | 17.0 | 18.4
| SN(E/C) | 0.91
|
|
|
|
|
|
|