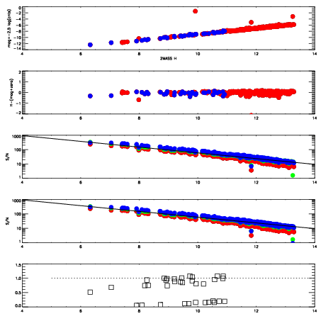
| Frame | Nreads | Zeropoints | Mag plots
| Spatial mag deviation
| Spatial sky 16325A emission deviations (filled: sky, open: star)
| Spatial sky continuum emission
| Spatial sky telluric CO2 absorption deviations (filled: H < 10)
|
| 7000011
| 47
| | Red | Green | Blue
| | z | | 18.97
| | znorm | | 14.79
| | sky | 14.4 | 14.0 | 13.8
| | S/N | 14.8 | 23.7 | 23.5
| | S/N(c) | 12.9 | 21.2 | 21.9
| | SN(E/C) | 0.76
|
|
|
|
|
|
|
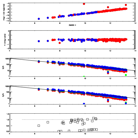
| 7000012
| 47
| | Red | Green | Blue
| | z | | 18.98
| | znorm | | 14.80
| | sky | 14.4 | 14.2 | 14.1
| | S/N | 14.8 | 23.8 | 24.4
| | S/N(c) | 12.8 | 21.4 | 22.8
| | SN(E/C) | 0.76
|
|
|
|
|
|
|
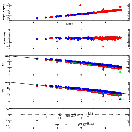
| 7000013
| 47
| | Red | Green | Blue
| | z | | 18.98
| | znorm | | 14.80
| | sky | 14.4 | 14.2 | 14.2
| | S/N | 14.6 | 24.3 | 24.7
| | S/N(c) | 12.7 | 22.2 | 23.2
| | SN(E/C) | 0.89
|
|
|
|
|
|
|
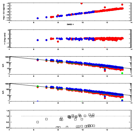
| 7000014
| 47
| | Red | Green | Blue
| | z | | 18.96
| | znorm | | 14.78
| | sky | 14.4 | 14.2 | 14.3
| | S/N | 14.2 | 23.5 | 24.3
| | S/N(c) | 12.2 | 21.0 | 22.6
| | SN(E/C) | 0.80
|
|
|
|
|
|
|
| 7000015
| 47
| | Red | Green | Blue
| | z | | 19.03
| | znorm | | 14.85
| | sky | 14.5 | 14.2 | 14.2
| | S/N | 15.3 | 24.8 | 25.4
| | S/N(c) | 13.3 | 22.4 | 23.7
| | SN(E/C) | 0.80
|
|
|
|
|
|
|
| 7000016
| 47
| | Red | Green | Blue
| | z | | 19.01
| | znorm | | 14.83
| | sky | 14.5 | 14.2 | 14.2
| | S/N | 15.1 | 24.3 | 25.2
| | S/N(c) | 13.0 | 22.0 | 23.4
| | SN(E/C) | 0.75
|
|
|
|
|
|
|
| 7000017
| 47
| | Red | Green | Blue
| | z | | 19.02
| | znorm | | 14.84
| | sky | 14.5 | 14.3 | 14.3
| | S/N | 15.4 | 24.9 | 25.2
| | S/N(c) | 13.3 | 22.6 | 23.6
| | SN(E/C) | 0.74
|
|
|
|
|
|
|
| 7000018
| 47
| | Red | Green | Blue
| | z | | 19.12
| | znorm | | 14.94
| | sky | 14.4 | 14.4 | 14.3
| | S/N | 16.2 | 26.2 | 26.8
| | S/N(c) | 14.2 | 23.9 | 25.3
| | SN(E/C) | 0.79
|
|
|
|
|
|
|