PLATE: 6235 MJD: 56230 FIELD: 120-08

FrameCartsec zseeingNreadsDitherPixshiftZerosky continuumS/NS/N(c)
6680043 1 1.08 1.05 47 0.00 0.00 19.14 [14.98,14.43,14.23] [ 18.0, 27.0, 30.0] [ 16.2, 26.2, 29.3]
6680044 1 1.08 1.09 47 0.26 -0.00 19.11 [14.63,14.57,14.70] [ 17.3, 26.6, 30.1] [ 15.6, 25.6, 28.9]
6680045 1 1.08 1.15 47 0.26 -0.00 19.14 [14.86,14.59,14.62] [ 17.6, 26.9, 30.3] [ 15.9, 25.7, 29.1]
6680046 1 1.08 1.08 47 -0.07 0.00 19.19 [14.76,14.82,14.71] [ 18.4, 27.8, 31.1] [ 16.6, 26.4, 29.9]
6680047 1 1.09 1.04 47 -0.06 0.00 19.16 [14.82,14.78,14.76] [ 17.8, 27.3, 30.6] [ 16.2, 26.0, 29.4]
6680048 1 1.09 1.14 47 0.26 -0.00 19.12 [14.69,14.91,14.73] [ 17.4, 27.0, 30.0] [ 15.7, 25.5, 28.8]
6680049 1 1.10 1.40 47 0.27 -0.00 18.84 [15.18,14.86,14.98] [ 14.7, 23.6, 26.0] [ 12.9, 21.9, 24.8]
6680050 1 1.10 1.95 47 -0.07 0.00 18.90 [15.04,14.96,14.91] [ 15.1, 24.0, 26.5] [ 13.4, 22.3, 25.4]

IPAIRNAMESHIFTNEWSHIFTS/N NAMESHIFTNEWSHIFTS/N
0 06680049 0.266 0.000 247.90 06680050 -0.074 0.340 255.74
1 06680048 0.255 0.011 280.14 06680046 -0.069 0.335 291.84
2 06680045 0.260 0.006 277.64 06680047 -0.063 0.329 286.66
3 06680044 0.258 0.008 273.78 06680043 0.000 0.266 277.10

Visit (multiple exposure and dither combined) spectra

FrameZeropointsMag plots Spatial mag deviation Spatial sky 16325A emission deviations (filled: sky, open: star) Spatial sky continuum emission Spatial sky telluric CO2 absorption deviations (filled: H < 10)
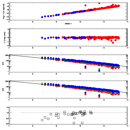
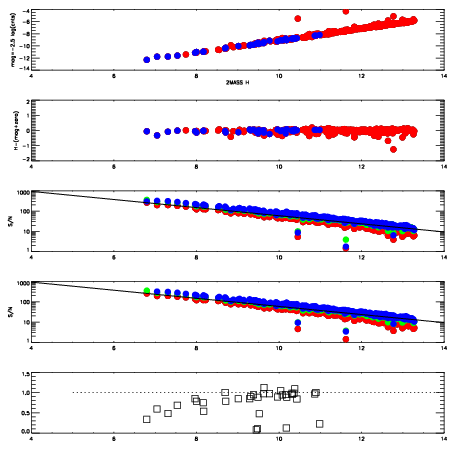
6680043
RedGreenBlue
z19.14
znorm14.96
sky 15.0 14.4 14.2
S/N 18.0 27.0 30.0
S/N(c) 16.2 26.2 29.3
SN(E/C) 0.88
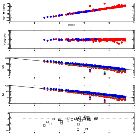
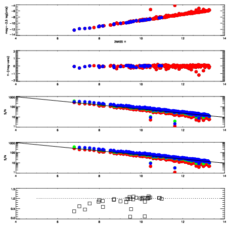
6680044
RedGreenBlue
z19.11
znorm14.93
sky 14.6 14.6 14.7
S/N 17.3 26.6 30.1
S/N(c) 15.6 25.6 28.9
SN(E/C) 0.94
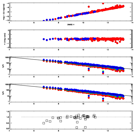
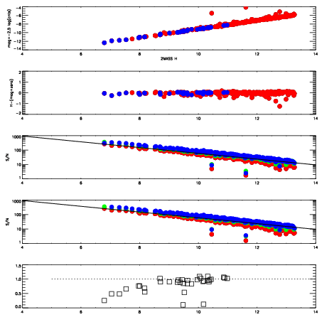
6680045
RedGreenBlue
z19.14
znorm14.96
sky 14.9 14.6 14.6
S/N 17.6 26.9 30.3
S/N(c) 15.9 25.7 29.1
SN(E/C) 0.88
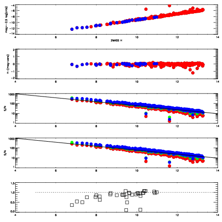
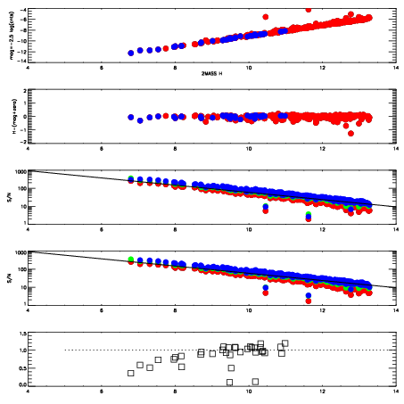
6680046
RedGreenBlue
z19.19
znorm15.01
sky 14.8 14.8 14.7
S/N 18.4 27.8 31.1
S/N(c) 16.6 26.4 29.9
SN(E/C) 0.90
6680047
RedGreenBlue
z19.16
znorm14.98
sky 14.8 14.8 14.8
S/N 17.8 27.3 30.6
S/N(c) 16.2 26.0 29.4
SN(E/C) 0.90
6680048
RedGreenBlue
z19.12
znorm14.94
sky 14.7 14.9 14.7
S/N 17.4 27.0 30.0
S/N(c) 15.7 25.5 28.8
SN(E/C) 0.97
6680049
RedGreenBlue
z18.84
znorm14.66
sky 15.2 14.9 15.0
S/N 14.7 23.6 26.0
S/N(c) 12.9 21.9 24.8
SN(E/C) 0.96
6680050
RedGreenBlue
z18.90
znorm14.72
sky 15.0 15.0 14.9
S/N 15.1 24.0 26.5
S/N(c) 13.4 22.3 25.4
SN(E/C) 0.94