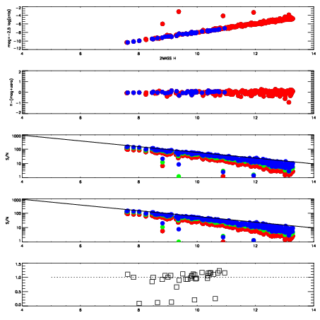
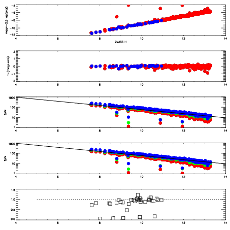
| Frame | Nreads | Zeropoints | Mag plots
| Spatial mag deviation
| Spatial sky 16325A emission deviations (filled: sky, open: star)
| Spatial sky continuum emission
| Spatial sky telluric CO2 absorption deviations (filled: H < 10)
|
| 6720032
| 47
| | Red | Green | Blue
| | z | | 18.72
| | znorm | | 14.54
| | sky | 14.3 | 14.0 | 14.1
| | S/N | 12.4 | 20.2 | 22.5
| | S/N(c) | 10.8 | 18.7 | 20.9
| | SN(E/C) | 0.90
|
|
|
|
|
|
|
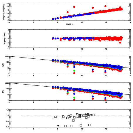
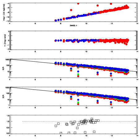
| 6720033
| 47
| | Red | Green | Blue
| | z | | 18.95
| | znorm | | 14.77
| | sky | 14.3 | 14.1 | 14.5
| | S/N | 14.8 | 23.6 | 26.3
| | S/N(c) | 13.0 | 22.0 | 24.4
| | SN(E/C) | 0.91
|
|
|
|
|
|
|
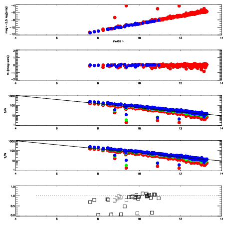
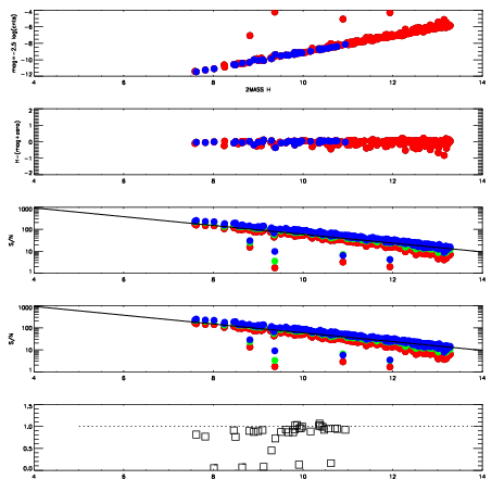
| 6720034
| 47
| | Red | Green | Blue
| | z | | 19.00
| | znorm | | 14.82
| | sky | 14.4 | 14.2 | 14.6
| | S/N | 15.2 | 24.5 | 27.2
| | S/N(c) | 13.1 | 22.8 | 25.3
| | SN(E/C) | 0.92
|
|
|
|
|
|
|
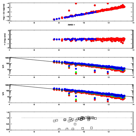
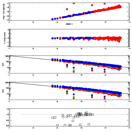
| 6720035
| 47
| | Red | Green | Blue
| | z | | 18.98
| | znorm | | 14.80
| | sky | 14.3 | 14.3 | 14.5
| | S/N | 15.5 | 25.0 | 27.1
| | S/N(c) | 13.6 | 23.1 | 25.4
| | SN(E/C) | 0.91
|
|
|
|
|
|
|
| 6720036
| 47
| | Red | Green | Blue
| | z | | 17.99
| | znorm | | 13.81
| | sky | 13.7 | 13.6 | 13.8
| | S/N | 6.9 | 12.7 | 14.0
| | S/N(c) | 5.9 | 11.6 | 12.7
| | SN(E/C) | 1.00
|
|
|
|
|
|
|
| 6720037
| 47
| | Red | Green | Blue
| | z | | 19.14
| | znorm | | 14.96
| | sky | 14.4 | 14.6 | 14.8
| | S/N | 16.6 | 26.8 | 29.2
| | S/N(c) | 14.7 | 25.4 | 27.4
| | SN(E/C) | 0.91
|
|
|
|
|
|
|
| 6720038
| 47
| | Red | Green | Blue
| | z | | 19.10
| | znorm | | 14.92
| | sky | 14.5 | 14.4 | 14.8
| | S/N | 16.1 | 26.3 | 28.4
| | S/N(c) | 14.2 | 24.8 | 26.7
| | SN(E/C) | 0.91
|
|
|
|
|
|
|
| 6720039
| 47
| | Red | Green | Blue
| | z | | 19.12
| | znorm | | 14.94
| | sky | 14.4 | 14.5 | 14.7
| | S/N | 16.4 | 26.7 | 28.4
| | S/N(c) | 14.7 | 25.0 | 27.0
| | SN(E/C) | 0.93
|
|
|
|
|
|
|