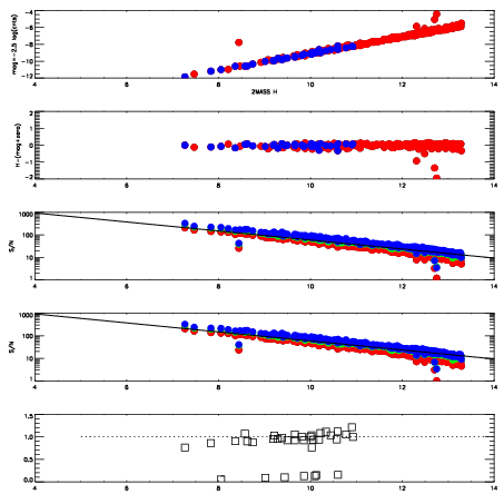
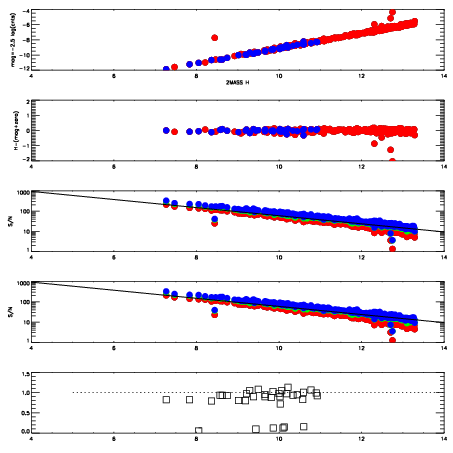
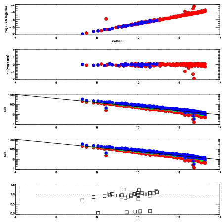
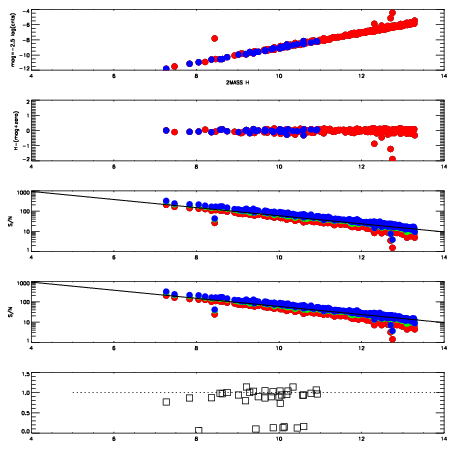
Frame | Nreads | Zeropoints | Mag plots
| Spatial mag deviation
| Spatial sky 16325A emission deviations (filled: sky, open: star)
| Spatial sky continuum emission
| Spatial sky telluric CO2 absorption deviations (filled: H < 10)
|
6410068
| 47
| | Red | Green | Blue
| z | | 19.13
| znorm | | 14.95
| sky | 14.8 | 14.5 | 15.0
| S/N | 17.4 | 26.8 | 29.4
| S/N(c) | 15.5 | 25.3 | 27.5
| SN(E/C) | 0.91
|
|
|
|
|
|
|
6410069
| 47
| | Red | Green | Blue
| z | | 19.13
| znorm | | 14.95
| sky | 14.7 | 14.5 | 14.9
| S/N | 17.4 | 27.3 | 29.1
| S/N(c) | 15.4 | 25.7 | 27.4
| SN(E/C) | 0.92
|
|
|
|
|
|
|
6410070
| 47
| | Red | Green | Blue
| z | | 19.10
| znorm | | 14.92
| sky | 14.7 | 14.6 | 15.0
| S/N | 16.9 | 26.8 | 28.9
| S/N(c) | 14.9 | 25.4 | 27.0
| SN(E/C) | 0.92
|
|
|
|
|
|
|
6410071
| 47
| | Red | Green | Blue
| z | | 19.07
| znorm | | 14.89
| sky | 14.7 | 14.7 | 15.1
| S/N | 16.7 | 26.2 | 28.1
| S/N(c) | 14.7 | 24.7 | 26.3
| SN(E/C) | 0.94
|
|
|
|
|
|
|
6410072
| 47
| | Red | Green | Blue
| z | | 19.07
| znorm | | 14.89
| sky | 15.0 | 14.7 | 15.0
| S/N | 16.7 | 26.2 | 28.3
| S/N(c) | 14.9 | 24.7 | 26.7
| SN(E/C) | 0.94
|
|
|
|
|
|
|
6410073
| 47
| | Red | Green | Blue
| z | | 19.09
| znorm | | 14.91
| sky | 14.8 | 14.6 | 15.0
| S/N | 16.7 | 26.6 | 28.4
| S/N(c) | 14.8 | 25.0 | 26.8
| SN(E/C) | 0.91
|
|
|
|
|
|
|
6410074
| 47
| | Red | Green | Blue
| z | | 19.11
| znorm | | 14.93
| sky | 14.7 | 14.7 | 14.9
| S/N | 17.1 | 26.9 | 28.7
| S/N(c) | 15.3 | 25.4 | 27.0
| SN(E/C) | 0.93
|
|
|
|
|
|
|
6410075
| 47
| | Red | Green | Blue
| z | | 19.14
| znorm | | 14.96
| sky | 14.8 | 14.6 | 15.0
| S/N | 17.7 | 27.4 | 29.1
| S/N(c) | 15.8 | 25.8 | 27.4
| SN(E/C) | 0.93
|
|
|
|
|
|
|