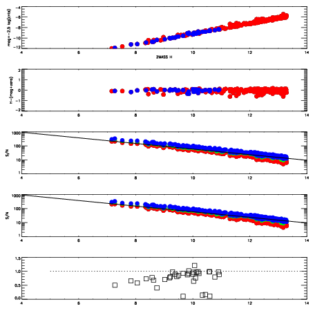
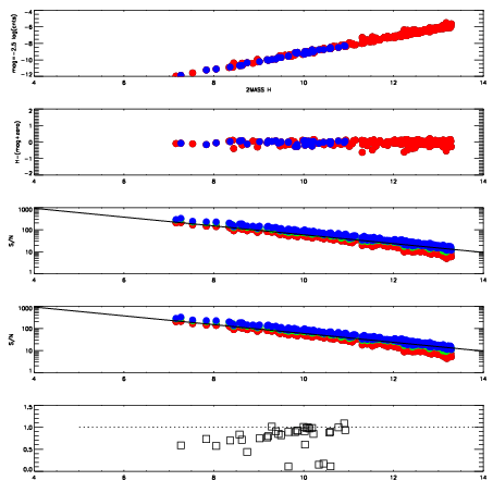
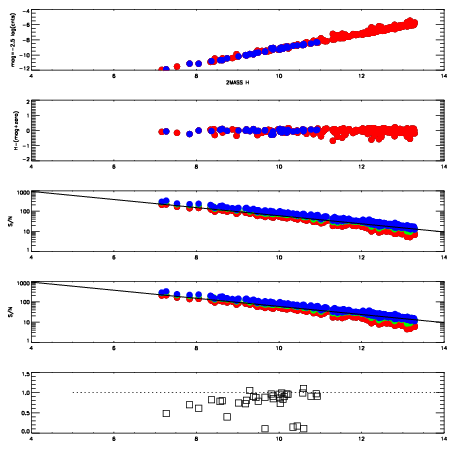
Left plots: red are targets, blue are telluric. Observed mags are calculated from median value of green chip. Zeropoint gives overall throughput: bigger number is more throughput.
First spatial plots: circles are objects, squares are tellurics, crosses are sky fibers. Colors give deviation of observed mag from expected 2MASS mag using the median zeropoint; red is brighter
Second spatial plots: circles are sky fibers. Colors give sky line brightness relative to plate median sky line brightness
FrameNreadsZeropointsMag plots Spatial mag deviation Spatial sky 16325A emission deviations (filled: sky, open: star) Spatial sky continuum emission Spatial sky telluric CO2 absorption deviations (filled: H < 10)
6130026 47
RedGreenBlue
z19.20
znorm15.02
sky 14.9 14.7 15.1
S/N 17.2 27.4 30.4
S/N(c) 15.6 26.0 28.9
SN(E/C) 0.85
6130027 47
RedGreenBlue
z19.21
znorm15.03
sky 14.6 14.8 15.2
S/N 17.3 27.5 30.6
S/N(c) 16.1 26.1 29.4
SN(E/C) 0.85
6130028 47
RedGreenBlue
z19.21
znorm15.03
sky 14.6 14.8 15.2
S/N 16.9 27.6 30.3
S/N(c) 15.4 25.8 28.8
SN(E/C) 0.85
6130029 47
RedGreenBlue
z19.23
znorm15.05
sky 14.7 14.7 15.2
S/N 17.3 28.1 30.8
S/N(c) 15.9 26.1 29.3
SN(E/C) 0.81