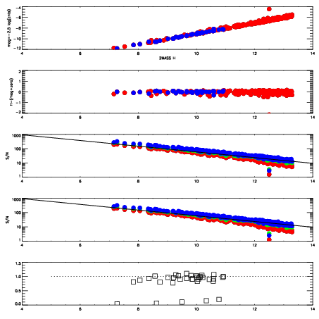
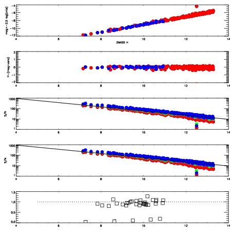
| Frame | Nreads | Zeropoints | Mag plots
| Spatial mag deviation
| Spatial sky 16325A emission deviations (filled: sky, open: star)
| Spatial sky continuum emission
| Spatial sky telluric CO2 absorption deviations (filled: H < 10)
|
| 6660058
| 47
| | Red | Green | Blue
| | z | | 19.05
| | znorm | | 14.87
| | sky | 15.1 | 14.5 | 14.7
| | S/N | 16.1 | 25.6 | 28.0
| | S/N(c) | 14.2 | 23.6 | 25.8
| | SN(E/C) | 0.98
|
|
|
|
|
|
|
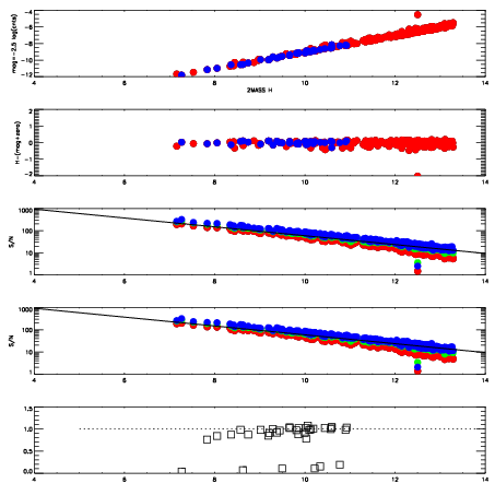
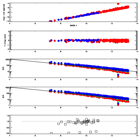
| 6660059
| 47
| | Red | Green | Blue
| | z | | 19.05
| | znorm | | 14.87
| | sky | 15.0 | 14.8 | 15.3
| | S/N | 15.8 | 25.5 | 27.5
| | S/N(c) | 13.9 | 23.7 | 25.8
| | SN(E/C) | 0.97
|
|
|
|
|
|
|
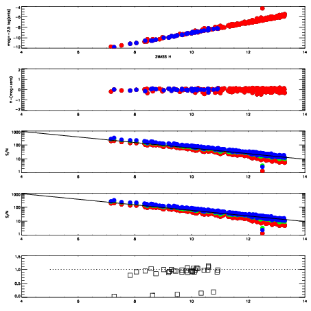
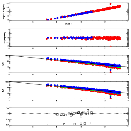
| 6660060
| 47
| | Red | Green | Blue
| | z | | 19.07
| | znorm | | 14.89
| | sky | 15.0 | 14.8 | 15.2
| | S/N | 15.9 | 25.6 | 27.6
| | S/N(c) | 13.9 | 24.2 | 25.7
| | SN(E/C) | 0.92
|
|
|
|
|
|
|
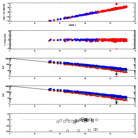
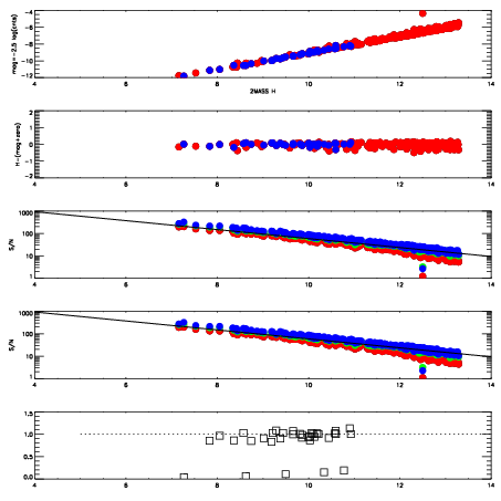
| 6660061
| 47
| | Red | Green | Blue
| | z | | 19.08
| | znorm | | 14.90
| | sky | 15.3 | 14.9 | 15.2
| | S/N | 16.3 | 25.9 | 28.0
| | S/N(c) | 14.2 | 24.3 | 26.2
| | SN(E/C) | 0.93
|
|
|
|
|
|
|
| 6660062
| 47
| | Red | Green | Blue
| | z | | 19.06
| | znorm | | 14.88
| | sky | 14.9 | 14.8 | 15.3
| | S/N | 16.3 | 25.7 | 27.8
| | S/N(c) | 14.2 | 24.1 | 25.7
| | SN(E/C) | 0.95
|
|
|
|
|
|
|
| 6660063
| 47
| | Red | Green | Blue
| | z | | 19.04
| | znorm | | 14.86
| | sky | 14.9 | 15.0 | 15.4
| | S/N | 15.7 | 25.4 | 27.2
| | S/N(c) | 13.9 | 23.8 | 25.6
| | SN(E/C) | 0.92
|
|
|
|
|
|
|
| 6660064
| 47
| | Red | Green | Blue
| | z | | 19.10
| | znorm | | 14.92
| | sky | 14.9 | 14.9 | 15.3
| | S/N | 16.7 | 26.3 | 28.8
| | S/N(c) | 14.7 | 24.5 | 26.6
| | SN(E/C) | 0.94
|
|
|
|
|
|
|
| 6660065
| 47
| | Red | Green | Blue
| | z | | 19.08
| | znorm | | 14.89
| | sky | 15.3 | 14.8 | 15.2
| | S/N | 16.1 | 26.0 | 27.9
| | S/N(c) | 13.9 | 24.1 | 26.1
| | SN(E/C) | 0.97
|
|
|
|
|
|
|