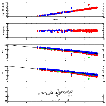
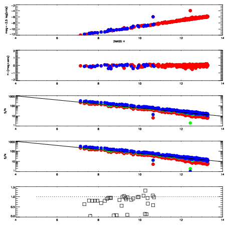
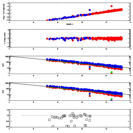
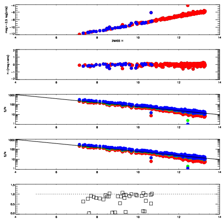
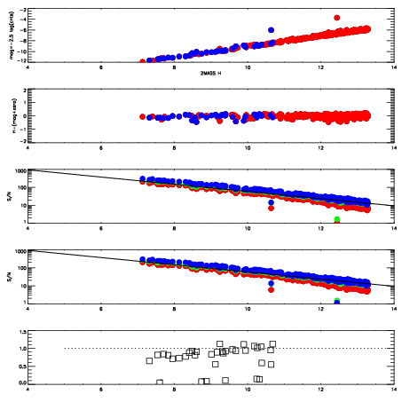
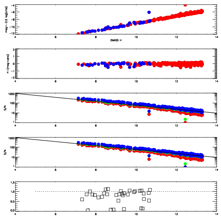
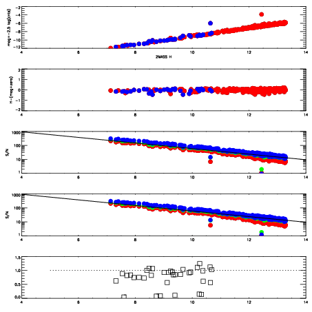
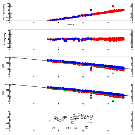
| Frame | Nreads | Zeropoints | Mag plots
| Spatial mag deviation
| Spatial sky 16325A emission deviations (filled: sky, open: star)
| Spatial sky continuum emission
| Spatial sky telluric CO2 absorption deviations (filled: H < 10)
|
| 6410057
| 47
| | Red | Green | Blue
| | z | | 19.11
| | znorm | | 14.93
| | sky | 15.1 | 14.6 | 14.7
| | S/N | 15.9 | 25.3 | 28.2
| | S/N(c) | 14.3 | 24.2 | 26.2
| | SN(E/C) | 0.88
|
|
|
|
|
|
|
| 6410058
| 47
| | Red | Green | Blue
| | z | | 19.11
| | znorm | | 14.93
| | sky | 14.6 | 14.6 | 14.9
| | S/N | 16.3 | 25.3 | 28.3
| | S/N(c) | 14.5 | 24.0 | 26.6
| | SN(E/C) | 0.87
|
|
|
|
|
|
|
| 6410059
| 47
| | Red | Green | Blue
| | z | | 19.11
| | znorm | | 14.93
| | sky | 14.7 | 14.7 | 15.0
| | S/N | 16.1 | 25.4 | 28.3
| | S/N(c) | 14.5 | 24.0 | 26.6
| | SN(E/C) | 0.86
|
|
|
|
|
|
|
| 6410060
| 47
| | Red | Green | Blue
| | z | | 19.12
| | znorm | | 14.94
| | sky | 15.1 | 14.8 | 15.0
| | S/N | 16.1 | 25.9 | 28.6
| | S/N(c) | 14.4 | 24.5 | 26.9
| | SN(E/C) | 0.89
|
|
|
|
|
|
|
| 6410061
| 47
| | Red | Green | Blue
| | z | | 19.12
| | znorm | | 14.94
| | sky | 14.6 | 14.7 | 15.0
| | S/N | 16.2 | 25.9 | 28.6
| | S/N(c) | 14.8 | 24.5 | 26.9
| | SN(E/C) | 0.84
|
|
|
|
|
|
|
| 6410062
| 47
| | Red | Green | Blue
| | z | | 19.14
| | znorm | | 14.96
| | sky | 14.8 | 14.8 | 15.0
| | S/N | 16.3 | 26.0 | 28.7
| | S/N(c) | 14.9 | 24.7 | 26.9
| | SN(E/C) | 0.85
|
|
|
|
|
|
|
| 6410063
| 47
| | Red | Green | Blue
| | z | | 19.15
| | znorm | | 14.97
| | sky | 15.0 | 14.8 | 15.0
| | S/N | 16.6 | 26.4 | 29.1
| | S/N(c) | 14.9 | 25.1 | 27.4
| | SN(E/C) | 0.85
|
|
|
|
|
|
|
| 6410064
| 47
| | Red | Green | Blue
| | z | | 19.18
| | znorm | | 15.00
| | sky | 14.8 | 14.9 | 15.1
| | S/N | 16.6 | 26.5 | 29.6
| | S/N(c) | 15.0 | 25.0 | 27.8
| | SN(E/C) | 0.87
|
|
|
|
|
|
|