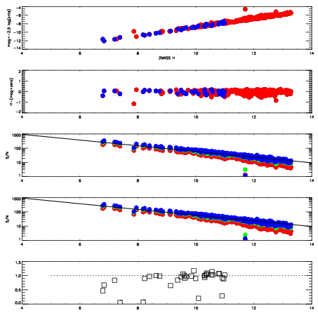
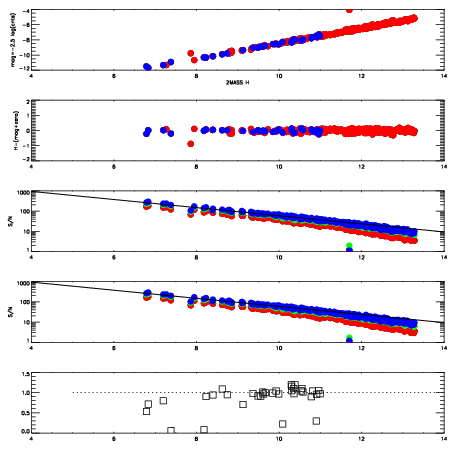
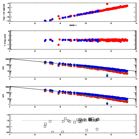
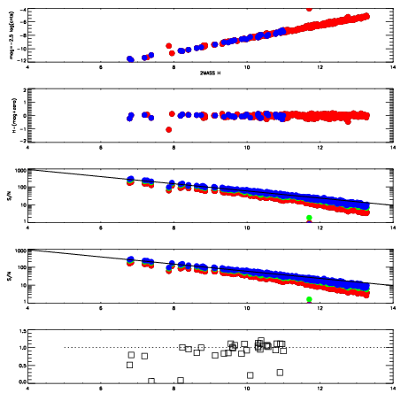
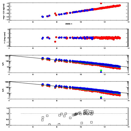
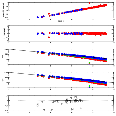
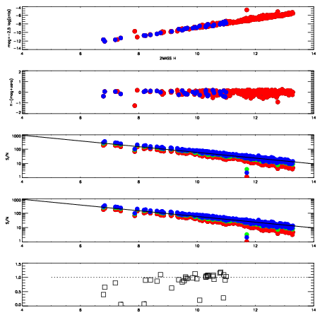
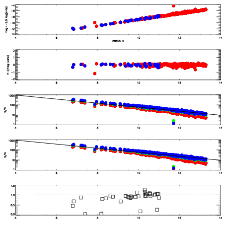
| Frame | Nreads | Zeropoints | Mag plots
| Spatial mag deviation
| Spatial sky 16325A emission deviations (filled: sky, open: star)
| Spatial sky continuum emission
| Spatial sky telluric CO2 absorption deviations (filled: H < 10)
|
| 6420055
| 47
| | Red | Green | Blue
| | z | | 18.84
| | znorm | | 14.66
| | sky | 14.4 | 14.0 | 14.2
| | S/N | 14.8 | 23.5 | 25.9
| | S/N(c) | 12.5 | 21.7 | 24.0
| | SN(E/C) | 0.95
|
|
|
|
|
|
|
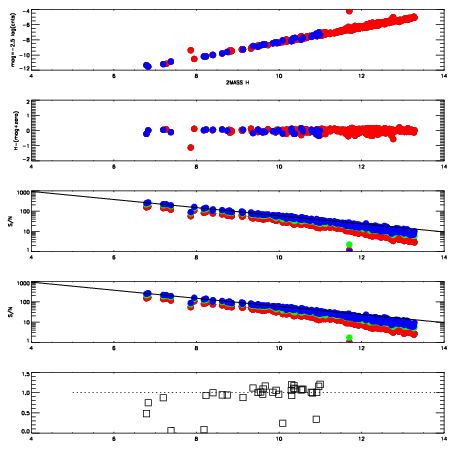
| 6420056
| 47
| | Red | Green | Blue
| | z | | 18.80
| | znorm | | 14.62
| | sky | 14.1 | 14.0 | 14.3
| | S/N | 13.6 | 22.2 | 24.8
| | S/N(c) | 11.7 | 20.6 | 23.1
| | SN(E/C) | 0.97
|
|
|
|
|
|
|
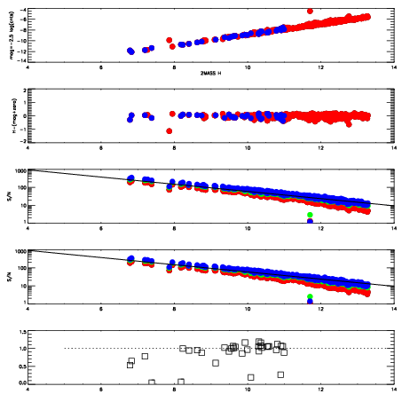
| 6420057
| 47
| | Red | Green | Blue
| | z | | 18.97
| | znorm | | 14.79
| | sky | 14.4 | 14.4 | 14.6
| | S/N | 15.4 | 24.9 | 27.4
| | S/N(c) | 13.7 | 22.9 | 25.9
| | SN(E/C) | 0.95
|
|
|
|
|
|
|
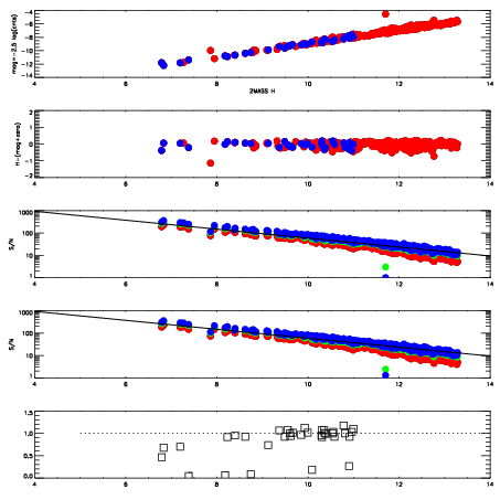
| 6420058
| 47
| | Red | Green | Blue
| | z | | 18.92
| | znorm | | 14.74
| | sky | 14.3 | 14.4 | 14.5
| | S/N | 14.9 | 24.4 | 26.5
| | S/N(c) | 13.0 | 22.4 | 24.7
| | SN(E/C) | 0.93
|
|
|
|
|
|
|
| 6420059
| 47
| | Red | Green | Blue
| | z | | 18.88
| | znorm | | 14.70
| | sky | 14.2 | 14.2 | 14.5
| | S/N | 14.5 | 24.0 | 25.7
| | S/N(c) | 12.6 | 22.0 | 24.0
| | SN(E/C) | 0.99
|
|
|
|
|
|
|
| 6420060
| 47
| | Red | Green | Blue
| | z | | 18.35
| | znorm | | 14.17
| | sky | 13.7 | 13.8 | 14.0
| | S/N | 9.4 | 16.7 | 18.1
| | S/N(c) | 8.1 | 14.8 | 16.5
| | SN(E/C) | 1.00
|
|
|
|
|
|
|
| 6420061
| 47
| | Red | Green | Blue
| | z | | 18.37
| | znorm | | 14.19
| | sky | 13.9 | 13.9 | 14.0
| | S/N | 9.8 | 16.8 | 18.4
| | S/N(c) | 8.3 | 15.0 | 16.8
| | SN(E/C) | 0.98
|
|
|
|
|
|
|
| 6420062
| 47
| | Red | Green | Blue
| | z | | 18.67
| | znorm | | 14.49
| | sky | 14.0 | 14.1 | 14.2
| | S/N | 12.2 | 20.8 | 22.2
| | S/N(c) | 10.6 | 18.7 | 20.7
| | SN(E/C) | 0.93
|
|
|
|
|
|
|
| 6420063
| 47
| | Red | Green | Blue
| | z | | 18.50
| | znorm | | 14.32
| | sky | 13.8 | 13.9 | 14.1
| | S/N | 10.8 | 18.6 | 20.0
| | S/N(c) | 9.3 | 16.6 | 18.4
| | SN(E/C) | 0.98
|
|
|
|
|
|
|
| 6420064
| 47
| | Red | Green | Blue
| | z | | 18.58
| | znorm | | 14.40
| | sky | 14.0 | 14.0 | 14.1
| | S/N | 11.5 | 19.5 | 20.9
| | S/N(c) | 9.9 | 17.5 | 19.3
| | SN(E/C) | 1.02
|
|
|
|
|
|
|
| 6420065
| 47
| | Red | Green | Blue
| | z | | 18.87
| | znorm | | 14.69
| | sky | 14.4 | 14.3 | 14.4
| | S/N | 14.4 | 23.4 | 25.2
| | S/N(c) | 12.4 | 21.2 | 23.6
| | SN(E/C) | 0.97
|
|
|
|
|
|
|
| 6420066
| 47
| | Red | Green | Blue
| | z | | 18.50
| | znorm | | 14.32
| | sky | 13.9 | 14.0 | 14.2
| | S/N | 10.8 | 18.6 | 19.9
| | S/N(c) | 9.4 | 16.6 | 18.3
| | SN(E/C) | 0.97
|
|
|
|
|
|
|