PLATE: 6243 MJD: 56226 FIELD: 150+08

FrameCartsec zseeingNreadsDitherPixshiftZerosky continuumS/NS/N(c)
6640058 4 1.30 1.16 47 0.00 -0.00 19.11 [14.97,14.50,14.41] [ 17.3, 27.4, 30.0] [ 15.2, 25.9, 28.7]
6640059 4 1.28 1.11 47 0.33 0.00 19.11 [14.56,14.51,14.88] [ 17.3, 27.4, 30.3] [ 15.4, 26.2, 28.0]
6640060 4 1.26 1.24 47 0.34 0.00 19.10 [14.88,14.65,14.96] [ 17.1, 27.3, 29.8] [ 15.0, 26.0, 27.8]
6640061 4 1.24 1.13 47 -0.05 0.00 19.15 [14.71,14.69,14.81] [ 17.4, 27.9, 30.4] [ 15.6, 26.5, 28.2]
6640062 4 1.23 1.09 47 -0.05 -0.00 19.14 [15.00,14.69,15.01] [ 17.3, 27.8, 30.3] [ 15.4, 26.5, 28.1]
6640063 4 1.21 1.19 47 0.33 -0.00 19.15 [14.90,14.71,15.05] [ 17.2, 28.0, 30.5] [ 15.3, 26.6, 28.4]
6640064 4 1.20 1.12 47 0.33 -0.00 19.15 [15.06,14.78,14.87] [ 17.3, 28.1, 30.4] [ 15.5, 26.6, 28.4]
6640065 4 1.19 1.13 47 -0.05 0.00 19.15 [14.73,14.84,14.90] [ 17.4, 28.1, 30.0] [ 15.4, 26.2, 28.1]

IPAIRNAMESHIFTNEWSHIFTS/N NAMESHIFTNEWSHIFTS/N
0 06640060 0.341 0.000 271.26 06640062 -0.052 0.393 274.80
1 06640063 0.328 0.014 275.38 06640061 -0.051 0.392 276.42
2 06640064 0.333 0.009 273.55 06640065 -0.053 0.395 276.20
3 06640059 0.330 0.011 270.48 06640058 0.000 0.341 270.83

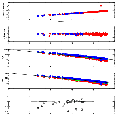
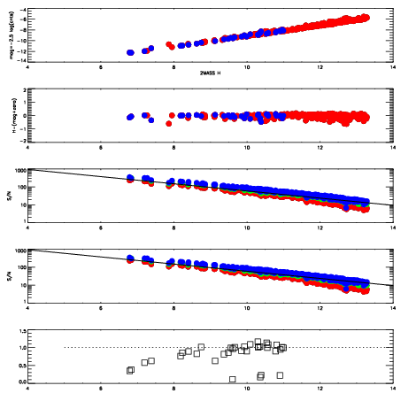
Visit (multiple exposure and dither combined) spectra

FrameZeropointsMag plots Spatial mag deviation Spatial sky 16325A emission deviations (filled: sky, open: star) Spatial sky continuum emission Spatial sky telluric CO2 absorption deviations (filled: H < 10)
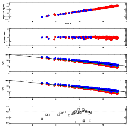
6640058
RedGreenBlue
z19.11
znorm14.93
sky 15.0 14.5 14.4
S/N 17.3 27.4 30.0
S/N(c) 15.2 25.9 28.7
SN(E/C) 0.87
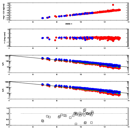
6640059
RedGreenBlue
z19.11
znorm14.93
sky 14.6 14.5 14.9
S/N 17.3 27.4 30.3
S/N(c) 15.4 26.2 28.0
SN(E/C) 0.92
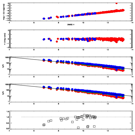
6640060
RedGreenBlue
z19.10
znorm14.92
sky 14.9 14.7 15.0
S/N 17.1 27.3 29.8
S/N(c) 15.0 26.0 27.8
SN(E/C) 0.92
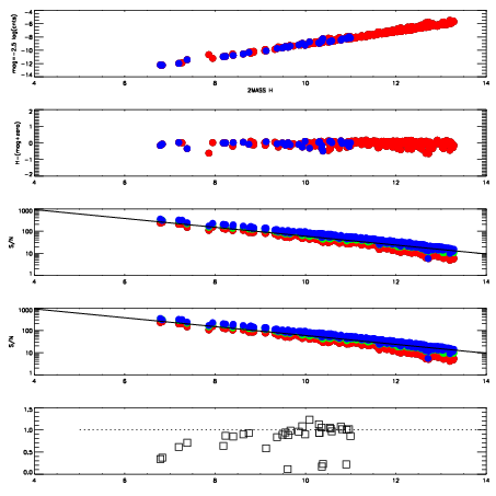
6640061
RedGreenBlue
z19.15
znorm14.97
sky 14.7 14.7 14.8
S/N 17.4 27.9 30.4
S/N(c) 15.6 26.5 28.2
SN(E/C) 0.95
6640062
RedGreenBlue
z19.14
znorm14.96
sky 15.0 14.7 15.0
S/N 17.3 27.8 30.3
S/N(c) 15.4 26.5 28.1
SN(E/C) 0.92
6640063
RedGreenBlue
z19.15
znorm14.97
sky 14.9 14.7 15.0
S/N 17.2 28.0 30.5
S/N(c) 15.3 26.6 28.4
SN(E/C) 0.91
6640064
RedGreenBlue
z19.15
znorm14.97
sky 15.1 14.8 14.9
S/N 17.3 28.1 30.4
S/N(c) 15.5 26.6 28.4
SN(E/C) 0.89
6640065
RedGreenBlue
z19.15
znorm14.97
sky 14.7 14.8 14.9
S/N 17.4 28.1 30.0
S/N(c) 15.4 26.2 28.1
SN(E/C) 0.90