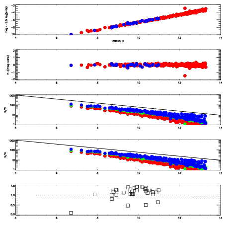
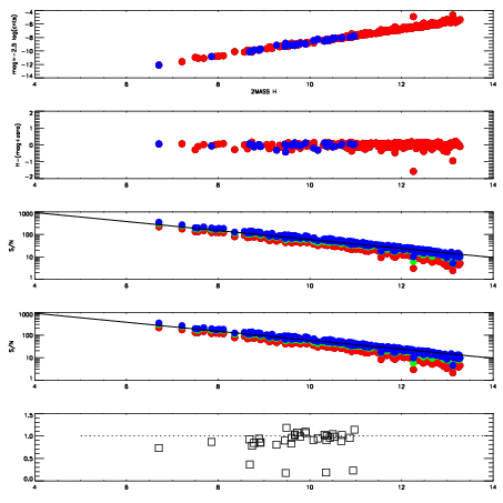
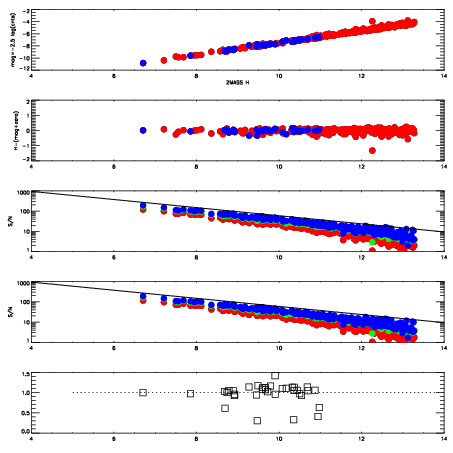
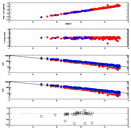
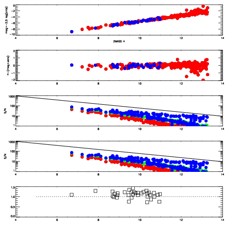
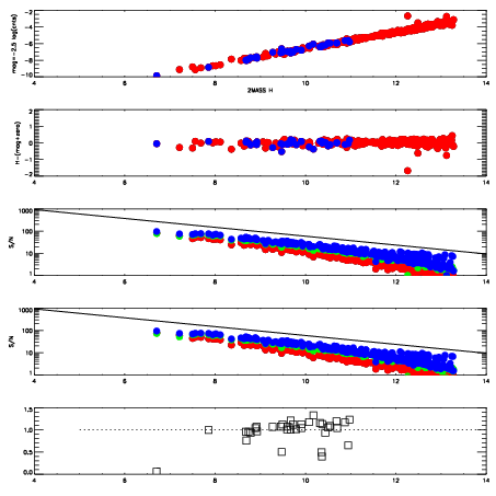
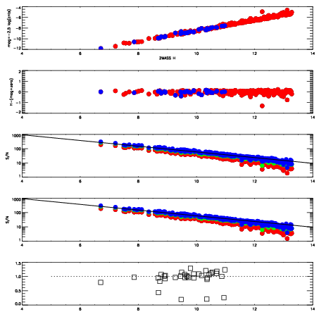
Frame | Nreads | Zeropoints | Mag plots
| Spatial mag deviation
| Spatial sky 16325A emission deviations (filled: sky, open: star)
| Spatial sky continuum emission
| Spatial sky telluric CO2 absorption deviations (filled: H < 10)
|
6330061
| 47
| | Red | Green | Blue
| z | | 18.98
| znorm | | 14.80
| sky | 15.1 | 14.6 | 14.8
| S/N | 15.7 | 25.2 | 27.4
| S/N(c) | 13.5 | 23.2 | 25.5
| SN(E/C) | 0.96
|
|
|
|
|
|
|
6330062
| 47
| | Red | Green | Blue
| z | | 18.52
| znorm | | 14.34
| sky | 14.8 | 14.6 | 15.1
| S/N | 11.1 | 19.3 | 21.1
| S/N(c) | 9.8 | 17.7 | 19.2
| SN(E/C) | 1.01
|
|
|
|
|
|
|
6330063
| 47
| | Red | Green | Blue
| z | | 17.52
| znorm | | 13.34
| sky | 14.9 | 14.7 | 15.2
| S/N | 5.1 | 10.4 | 11.0
| S/N(c) | 4.2 | 9.5 | 9.7
| SN(E/C) | 1.05
|
|
|
|
|
|
|
6330064
| 47
| | Red | Green | Blue
| z | | 17.80
| znorm | | 13.62
| sky | 14.7 | 14.7 | 15.1
| S/N | 6.3 | 12.4 | 13.3
| S/N(c) | 5.4 | 11.2 | 11.9
| SN(E/C) | 1.00
|
|
|
|
|
|
|
6330065
| 47
| | Red | Green | Blue
| z | | 15.50
| znorm | | 11.32
| sky | 14.8 | 14.7 | 15.4
| S/N | 0.6 | 2.4 | 2.1
| S/N(c) | 0.7 | 2.1 | 1.9
| SN(E/C) | 1.12
|
|
|
|
|
|
|
6330066
| 47
| | Red | Green | Blue
| z | | 18.74
| znorm | | 14.56
| sky | 14.7 | 14.8 | 15.1
| S/N | 12.8 | 22.2 | 24.4
| S/N(c) | 10.9 | 20.2 | 22.8
| SN(E/C) | 0.94
|
|
|
|
|
|
|
6330067
| 47
| | Red | Green | Blue
| z | | 16.66
| znorm | | 12.48
| sky | 14.8 | 14.8 | 15.5
| S/N | 2.4 | 5.6 | 5.7
| S/N(c) | 2.1 | 5.1 | 5.1
| SN(E/C) | 1.16
|
|
|
|
|
|
|
6330068
| 47
| | Red | Green | Blue
| z | | 16.61
| znorm | | 12.43
| sky | 15.0 | 15.1 | 15.7
| S/N | 2.5 | 5.5 | 6.0
| S/N(c) | 2.2 | 4.9 | 5.2
| SN(E/C) | 1.04
|
|
|
|
|
|
|