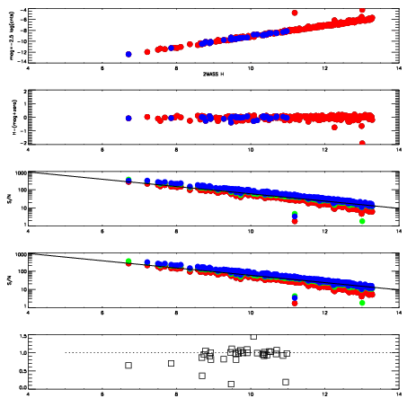
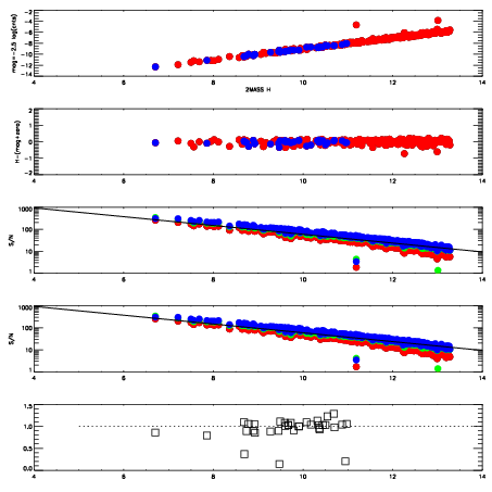
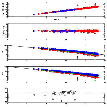
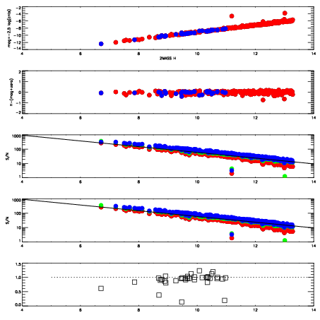
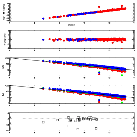
Frame | Nreads | Zeropoints | Mag plots
| Spatial mag deviation
| Spatial sky 16325A emission deviations (filled: sky, open: star)
| Spatial sky continuum emission
| Spatial sky telluric CO2 absorption deviations (filled: H < 10)
|
6610058
| 47
| | Red | Green | Blue
| z | | 19.04
| znorm | | 14.86
| sky | 15.5 | 14.6 | 15.1
| S/N | 15.8 | 24.7 | 27.1
| S/N(c) | 14.0 | 23.8 | 25.8
| SN(E/C) | 1.00
|
|
|
|
|
|
|
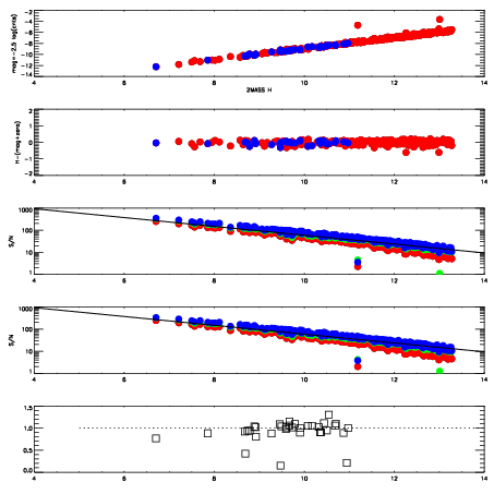
6610059
| 47
| | Red | Green | Blue
| z | | 19.10
| znorm | | 14.92
| sky | 15.0 | 14.6 | 15.3
| S/N | 16.1 | 25.4 | 27.7
| S/N(c) | 14.6 | 24.1 | 26.6
| SN(E/C) | 0.98
|
|
|
|
|
|
|
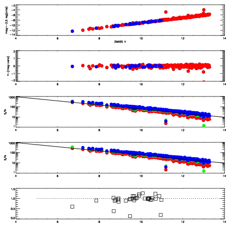
6610060
| 47
| | Red | Green | Blue
| z | | 19.09
| znorm | | 14.91
| sky | 15.2 | 14.7 | 15.2
| S/N | 15.5 | 25.3 | 27.9
| S/N(c) | 14.2 | 23.5 | 26.9
| SN(E/C) | 0.96
|
|
|
|
|
|
|
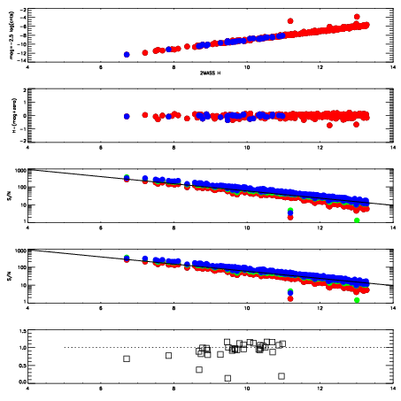
6610061
| 47
| | Red | Green | Blue
| z | | 18.96
| znorm | | 14.78
| sky | 15.1 | 14.9 | 15.3
| S/N | 14.8 | 23.6 | 25.8
| S/N(c) | 13.2 | 22.1 | 24.6
| SN(E/C) | 1.00
|
|
|
|
|
|
|
6610062
| 47
| | Red | Green | Blue
| z | | 19.03
| znorm | | 14.85
| sky | 15.1 | 14.8 | 15.3
| S/N | 15.4 | 24.3 | 27.0
| S/N(c) | 13.9 | 22.7 | 25.7
| SN(E/C) | 0.97
|
|
|
|
|
|
|
6610063
| 47
| | Red | Green | Blue
| z | | 19.16
| znorm | | 14.98
| sky | 15.2 | 14.8 | 15.3
| S/N | 16.8 | 26.2 | 29.5
| S/N(c) | 14.8 | 24.1 | 28.1
| SN(E/C) | 0.98
|
|
|
|
|
|
|
6610064
| 47
| | Red | Green | Blue
| z | | 19.16
| znorm | | 14.98
| sky | 14.8 | 14.9 | 15.4
| S/N | 16.8 | 26.3 | 29.4
| S/N(c) | 14.9 | 23.9 | 28.0
| SN(E/C) | 0.96
|
|
|
|
|
|
|
6610065
| 47
| | Red | Green | Blue
| z | | 19.06
| znorm | | 14.88
| sky | 14.9 | 14.9 | 15.2
| S/N | 15.4 | 24.8 | 27.5
| S/N(c) | 13.8 | 22.6 | 26.4
| SN(E/C) | 1.03
|
|
|
|
|
|
|