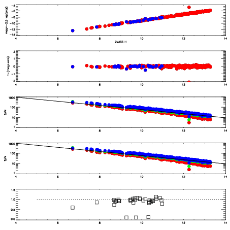
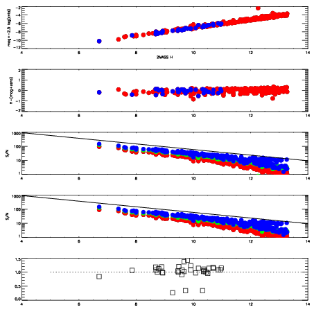
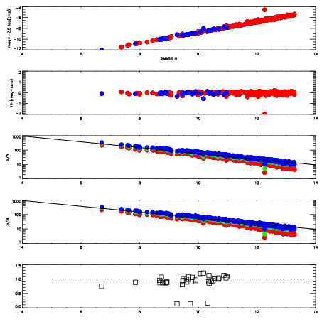
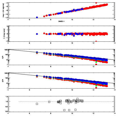
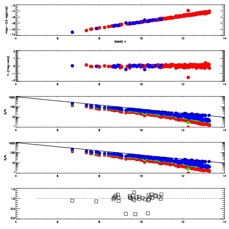
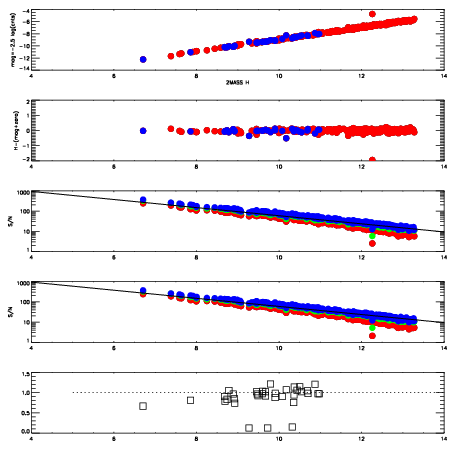
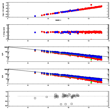
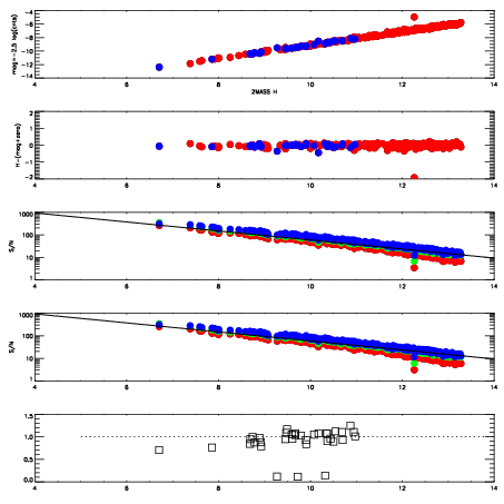
Frame | Nreads | Zeropoints | Mag plots
| Spatial mag deviation
| Spatial sky 16325A emission deviations (filled: sky, open: star)
| Spatial sky continuum emission
| Spatial sky telluric CO2 absorption deviations (filled: H < 10)
|
6620054
| 47
| | Red | Green | Blue
| z | | 17.62
| znorm | | 13.44
| sky | 14.4 | 14.3 | 14.9
| S/N | 5.1 | 9.6 | 13.3
| S/N(c) | 4.5 | 9.2 | 11.9
| SN(E/C) | 1.03
|
|
|
|
|
|
|
6620055
| 47
| | Red | Green | Blue
| z | | 15.74
| znorm | | 11.56
| sky | 14.6 | 14.5 | 15.1
| S/N | 1.0 | 2.1 | 5.9
| S/N(c) | 0.9 | 2.4 | 4.1
| SN(E/C) | 1.17
|
|
|
|
|
|
|
6620056
| 47
| | Red | Green | Blue
| z | | 17.09
| znorm | | 12.91
| sky | 14.5 | 14.4 | 15.0
| S/N | 3.6 | 7.2 | 8.6
| S/N(c) | 3.2 | 6.7 | 7.8
| SN(E/C) | 1.07
|
|
|
|
|
|
|
6620057
| 47
| | Red | Green | Blue
| z | | 18.95
| znorm | | 14.77
| sky | 15.0 | 14.7 | 15.3
| S/N | 14.4 | 23.6 | 26.4
| S/N(c) | 12.5 | 21.9 | 24.4
| SN(E/C) | 0.97
|
|
|
|
|
|
|
6620058
| 47
| | Red | Green | Blue
| z | | 19.02
| znorm | | 14.84
| sky | 14.6 | 14.7 | 15.0
| S/N | 15.1 | 24.7 | 27.5
| S/N(c) | 13.2 | 23.2 | 25.6
| SN(E/C) | 0.91
|
|
|
|
|
|
|
6620059
| 47
| | Red | Green | Blue
| z | | 19.13
| znorm | | 14.95
| sky | 14.9 | 14.8 | 15.2
| S/N | 16.0 | 26.1 | 29.1
| S/N(c) | 14.0 | 24.3 | 27.3
| SN(E/C) | 0.94
|
|
|
|
|
|
|
6620060
| 47
| | Red | Green | Blue
| z | | 19.15
| znorm | | 14.97
| sky | 15.0 | 14.7 | 15.2
| S/N | 16.6 | 26.6 | 29.3
| S/N(c) | 14.5 | 24.8 | 27.8
| SN(E/C) | 0.96
|
|
|
|
|
|
|
6620061
| 47
| | Red | Green | Blue
| z | | 18.78
| znorm | | 14.60
| sky | 14.8 | 14.8 | 15.3
| S/N | 12.8 | 21.9 | 24.2
| S/N(c) | 11.1 | 20.3 | 22.3
| SN(E/C) | 0.94
|
|
|
|
|
|
|
6620062
| 47
| | Red | Green | Blue
| z | | 18.73
| znorm | | 14.55
| sky | 14.7 | 14.9 | 15.2
| S/N | 12.6 | 21.3 | 23.6
| S/N(c) | 10.9 | 19.9 | 22.1
| SN(E/C) | 0.96
|
|
|
|
|
|
|
6620063
| 47
| | Red | Green | Blue
| z | | 18.40
| znorm | | 14.22
| sky | 14.7 | 14.9 | 15.4
| S/N | 9.9 | 17.7 | 19.4
| S/N(c) | 8.3 | 16.3 | 17.7
| SN(E/C) | 1.00
|
|
|
|
|
|
|
6620064
| 47
| | Red | Green | Blue
| z | | 18.06
| znorm | | 13.88
| sky | 14.9 | 14.7 | 15.2
| S/N | 7.6 | 14.4 | 15.6
| S/N(c) | 6.5 | 13.0 | 14.0
| SN(E/C) | 1.02
|
|
|
|
|
|
|
6620065
| 47
| | Red | Green | Blue
| z | | 18.32
| znorm | | 14.14
| sky | 14.9 | 14.8 | 15.3
| S/N | 9.2 | 16.9 | 18.2
| S/N(c) | 7.9 | 15.4 | 16.5
| SN(E/C) | 0.96
|
|
|
|
|
|
|
6620066
| 47
| | Red | Green | Blue
| z | | 17.69
| znorm | | 13.51
| sky | 14.7 | 15.0 | 15.4
| S/N | 5.6 | 11.7 | 12.3
| S/N(c) | 5.0 | 10.4 | 10.8
| SN(E/C) | 0.97
|
|
|
|
|
|
|
6620067
| 47
| | Red | Green | Blue
| z | | 17.70
| znorm | | 13.52
| sky | 14.7 | 14.9 | 15.6
| S/N | 5.7 | 11.7 | 12.2
| S/N(c) | 4.7 | 10.6 | 11.0
| SN(E/C) | 0.99
|
|
|
|
|
|
|