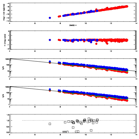
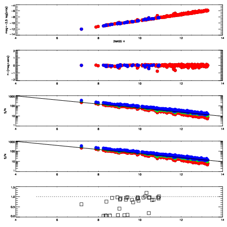
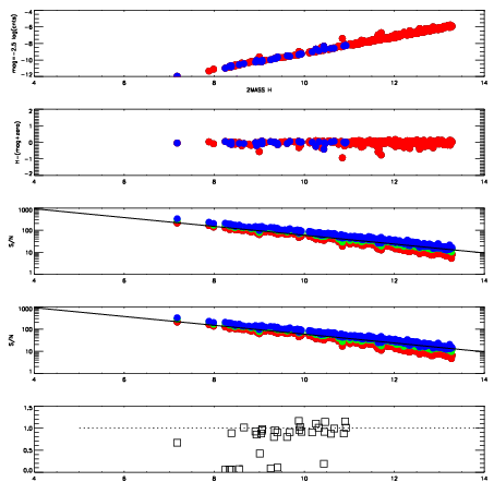
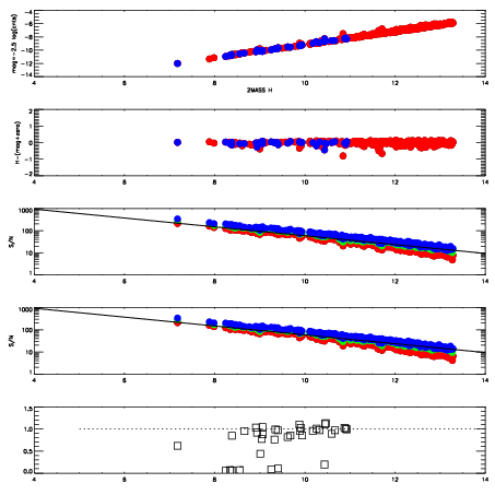
| Frame | Nreads | Zeropoints | Mag plots
| Spatial mag deviation
| Spatial sky 16325A emission deviations (filled: sky, open: star)
| Spatial sky continuum emission
| Spatial sky telluric CO2 absorption deviations (filled: H < 10)
|
| 6610036
| 47
| | Red | Green | Blue
| | z | | 19.18
| | znorm | | 15.00
| | sky | 15.1 | 14.6 | 14.9
| | S/N | 16.4 | 25.7 | 29.3
| | S/N(c) | 14.5 | 24.3 | 28.2
| | SN(E/C) | 0.90
|
|
|
|
|
|
|
| 6610037
| 47
| | Red | Green | Blue
| | z | | 19.17
| | znorm | | 14.99
| | sky | 14.9 | 14.8 | 15.4
| | S/N | 16.2 | 26.1 | 29.3
| | S/N(c) | 14.6 | 24.2 | 27.8
| | SN(E/C) | 0.86
|
|
|
|
|
|
|
| 6610038
| 47
| | Red | Green | Blue
| | z | | 19.18
| | znorm | | 15.00
| | sky | 14.9 | 14.6 | 15.3
| | S/N | 16.4 | 26.2 | 29.4
| | S/N(c) | 14.8 | 24.4 | 27.7
| | SN(E/C) | 0.87
|
|
|
|
|
|
|
| 6610039
| 47
| | Red | Green | Blue
| | z | | 19.16
| | znorm | | 14.98
| | sky | 15.0 | 14.8 | 15.3
| | S/N | 16.0 | 26.0 | 28.8
| | S/N(c) | 14.3 | 24.3 | 27.3
| | SN(E/C) | 0.92
|
|
|
|
|
|
|
| 6610040
| 47
| | Red | Green | Blue
| | z | | 19.19
| | znorm | | 15.01
| | sky | 15.1 | 14.9 | 15.4
| | S/N | 16.5 | 26.4 | 29.0
| | S/N(c) | 14.6 | 24.7 | 27.6
| | SN(E/C) | 0.89
|
|
|
|
|
|
|
| 6610041
| 47
| | Red | Green | Blue
| | z | | 19.16
| | znorm | | 14.98
| | sky | 14.8 | 14.8 | 15.2
| | S/N | 16.4 | 25.9 | 28.6
| | S/N(c) | 14.5 | 24.2 | 27.2
| | SN(E/C) | 0.88
|
|
|
|
|
|
|
| 6610042
| 47
| | Red | Green | Blue
| | z | | 19.14
| | znorm | | 14.96
| | sky | 15.1 | 14.8 | 15.4
| | S/N | 15.9 | 25.6 | 27.9
| | S/N(c) | 14.2 | 24.1 | 26.4
| | SN(E/C) | 0.91
|
|
|
|
|
|
|
| 6610043
| 47
| | Red | Green | Blue
| | z | | 19.10
| | znorm | | 14.92
| | sky | 14.9 | 14.9 | 15.2
| | S/N | 15.4 | 25.2 | 27.5
| | S/N(c) | 13.7 | 23.7 | 26.1
| | SN(E/C) | 0.90
|
|
|
|
|
|
|