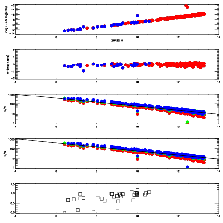
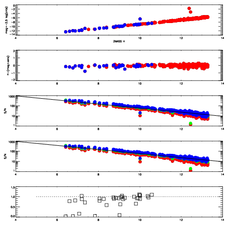
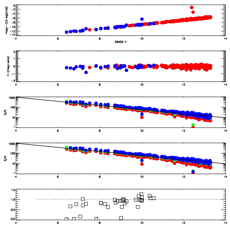
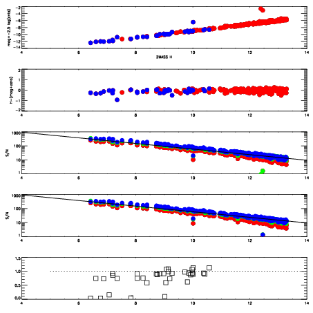
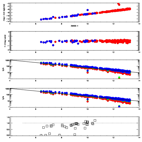
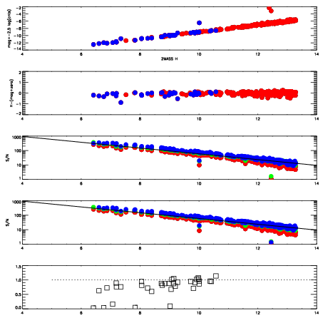
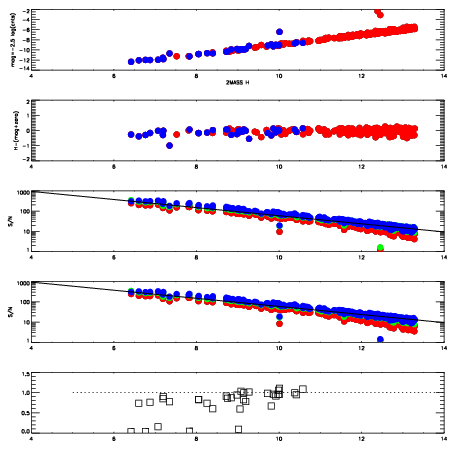
| Frame | Nreads | Zeropoints | Mag plots
| Spatial mag deviation
| Spatial sky 16325A emission deviations (filled: sky, open: star)
| Spatial sky continuum emission
| Spatial sky telluric CO2 absorption deviations (filled: H < 10)
|
| 6660047
| 47
| | Red | Green | Blue
| | z | | 19.01
| | znorm | | 14.83
| | sky | 15.0 | 14.4 | 14.0
| | S/N | 13.9 | 21.6 | 22.0
| | S/N(c) | 12.3 | 20.1 | 22.2
| | SN(E/C) | 0.91
|
|
|
|
|
|
|
| 6660048
| 47
| | Red | Green | Blue
| | z | | 19.00
| | znorm | | 14.82
| | sky | 14.6 | 14.5 | 14.3
| | S/N | 13.7 | 21.9 | 22.1
| | S/N(c) | 11.9 | 20.2 | 22.1
| | SN(E/C) | 0.89
|
|
|
|
|
|
|
| 6660049
| 47
| | Red | Green | Blue
| | z | | 19.06
| | znorm | | 14.88
| | sky | 14.7 | 14.6 | 14.3
| | S/N | 14.3 | 22.4 | 23.3
| | S/N(c) | 12.3 | 20.5 | 23.0
| | SN(E/C) | 0.87
|
|
|
|
|
|
|
| 6660050
| 47
| | Red | Green | Blue
| | z | | 19.07
| | znorm | | 14.89
| | sky | 15.0 | 14.6 | 14.3
| | S/N | 14.6 | 22.4 | 23.3
| | S/N(c) | 12.5 | 20.5 | 23.1
| | SN(E/C) | 0.86
|
|
|
|
|
|
|
| 6660051
| 47
| | Red | Green | Blue
| | z | | 19.06
| | znorm | | 14.88
| | sky | 15.0 | 14.6 | 14.4
| | S/N | 14.6 | 22.2 | 23.3
| | S/N(c) | 12.4 | 20.4 | 22.9
| | SN(E/C) | 0.83
|
|
|
|
|
|
|
| 6660052
| 47
| | Red | Green | Blue
| | z | | 19.08
| | znorm | | 14.90
| | sky | 14.8 | 14.7 | 14.3
| | S/N | 14.8 | 22.8 | 24.0
| | S/N(c) | 12.8 | 20.9 | 23.6
| | SN(E/C) | 0.90
|
|
|
|
|
|
|
| 6660053
| 47
| | Red | Green | Blue
| | z | | 19.03
| | znorm | | 14.85
| | sky | 14.9 | 14.7 | 14.3
| | S/N | 14.3 | 22.3 | 23.1
| | S/N(c) | 12.3 | 20.3 | 22.7
| | SN(E/C) | 0.89
|
|
|
|
|
|
|
| 6660054
| 47
| | Red | Green | Blue
| | z | | 19.03
| | znorm | | 14.85
| | sky | 14.7 | 14.6 | 14.5
| | S/N | 14.0 | 22.1 | 23.2
| | S/N(c) | 12.1 | 20.3 | 22.7
| | SN(E/C) | 0.86
|
|
|
|
|
|
|