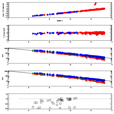
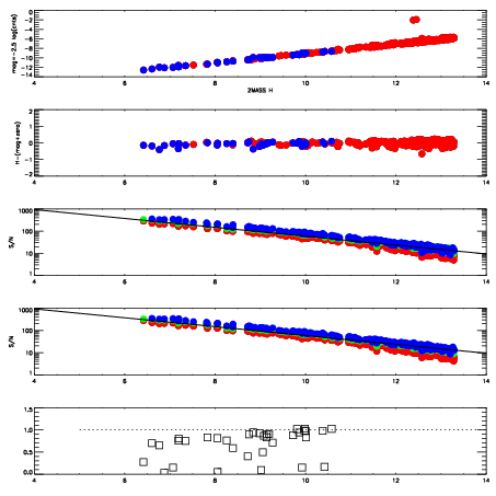
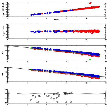
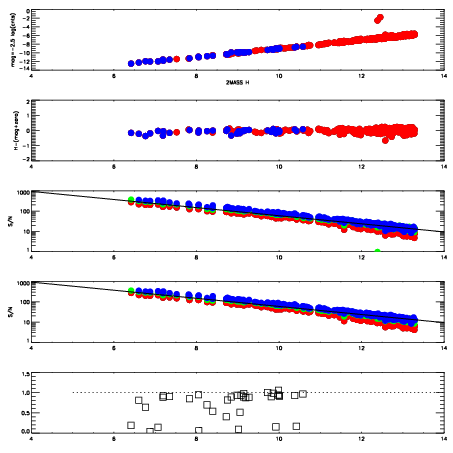
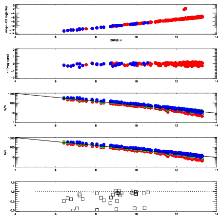
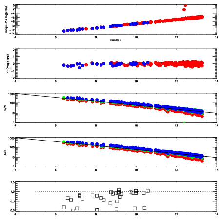
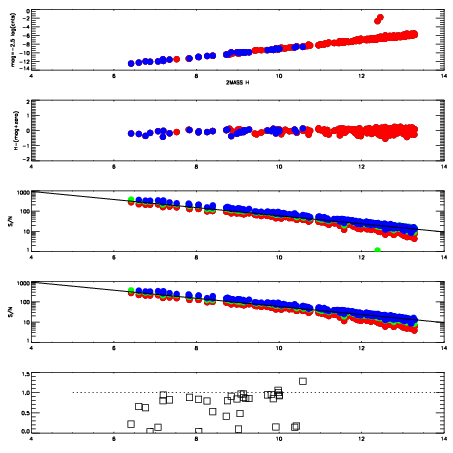
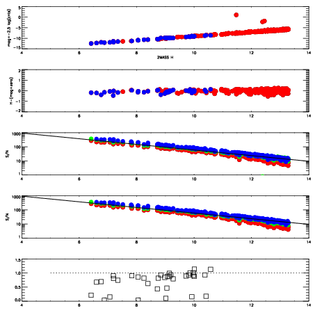
| Frame | Nreads | Zeropoints | Mag plots
| Spatial mag deviation
| Spatial sky 16325A emission deviations (filled: sky, open: star)
| Spatial sky continuum emission
| Spatial sky telluric CO2 absorption deviations (filled: H < 10)
|
| 6930038
| 47
| | Red | Green | Blue
| | z | | 19.15
| | znorm | | 14.97
| | sky | 15.0 | 14.4 | 13.9
| | S/N | 16.7 | 24.3 | 28.1
| | S/N(c) | 14.5 | 23.0 | 27.5
| | SN(E/C) | 0.76
|
|
|
|
|
|
|
| 6930039
| 47
| | Red | Green | Blue
| | z | | 19.08
| | znorm | | 14.90
| | sky | 14.8 | 14.4 | 14.2
| | S/N | 15.8 | 23.7 | 27.3
| | S/N(c) | 13.8 | 22.0 | 26.2
| | SN(E/C) | 0.79
|
|
|
|
|
|
|
| 6930040
| 47
| | Red | Green | Blue
| | z | | 19.12
| | znorm | | 14.94
| | sky | 14.4 | 14.4 | 14.2
| | S/N | 16.2 | 24.0 | 27.5
| | S/N(c) | 14.2 | 22.2 | 26.4
| | SN(E/C) | 0.81
|
|
|
|
|
|
|
| 6930041
| 47
| | Red | Green | Blue
| | z | | 19.06
| | znorm | | 14.88
| | sky | 14.7 | 14.4 | 14.2
| | S/N | 15.7 | 23.4 | 26.9
| | S/N(c) | 13.7 | 21.7 | 25.8
| | SN(E/C) | 0.88
|
|
|
|
|
|
|
| 6930042
| 47
| | Red | Green | Blue
| | z | | 19.11
| | znorm | | 14.93
| | sky | 14.6 | 14.5 | 14.2
| | S/N | 16.2 | 23.7 | 27.2
| | S/N(c) | 14.1 | 22.1 | 26.1
| | SN(E/C) | 0.83
|
|
|
|
|
|
|
| 6930043
| 47
| | Red | Green | Blue
| | z | | 19.09
| | znorm | | 14.91
| | sky | 14.9 | 14.5 | 14.2
| | S/N | 15.8 | 24.2 | 26.7
| | S/N(c) | 13.9 | 22.2 | 25.6
| | SN(E/C) | 0.83
|
|
|
|
|
|
|
| 6930044
| 47
| | Red | Green | Blue
| | z | | 19.07
| | znorm | | 14.89
| | sky | 14.7 | 14.5 | 14.3
| | S/N | 15.6 | 23.7 | 26.5
| | S/N(c) | 13.6 | 21.9 | 25.6
| | SN(E/C) | 0.84
|
|
|
|
|
|
|
| 6930045
| 47
| | Red | Green | Blue
| | z | | 19.10
| | znorm | | 14.92
| | sky | 14.8 | 14.6 | 14.3
| | S/N | 15.4 | 24.4 | 26.6
| | S/N(c) | 13.6 | 22.4 | 25.5
| | SN(E/C) | 0.83
|
|
|
|
|
|
|
| 6930046
| 47
| | Red | Green | Blue
| | z | | 19.09
| | znorm | | 14.91
| | sky | 14.8 | 14.6 | 14.3
| | S/N | 15.5 | 24.2 | 26.4
| | S/N(c) | 13.6 | 22.3 | 25.2
| | SN(E/C) | 0.84
|
|
|
|
|
|
|
| 6930047
| 47
| | Red | Green | Blue
| | z | | 19.12
| | znorm | | 14.94
| | sky | 14.7 | 14.6 | 14.3
| | S/N | 15.5 | 25.2 | 26.3
| | S/N(c) | 13.7 | 23.3 | 25.9
| | SN(E/C) | 0.81
|
|
|
|
|
|
|