PLATE: 6326 MJD: 56285 FIELD: 195+08

FrameCartsec zseeingNreadsDitherPixshiftZerosky continuumS/NS/N(c)
7230059 6 1.07 1.33 47 0.00 0.00 18.89 [15.15,14.45,14.45] [ 14.4, 23.5, 26.4] [ 12.8, 22.0, 25.2]
7230060 6 1.06 1.51 47 0.28 -0.00 19.00 [14.92,14.51,14.97] [ 15.2, 24.9, 28.1] [ 13.7, 23.7, 26.6]
7230061 6 1.05 1.34 47 0.28 -0.00 19.10 [14.67,14.59,14.86] [ 16.0, 26.3, 29.0] [ 14.3, 24.7, 27.5]
7230062 6 1.04 1.32 47 -0.02 0.00 19.07 [14.76,14.49,14.80] [ 15.7, 25.8, 28.4] [ 14.1, 24.3, 27.0]
7230063 6 1.04 1.24 47 -0.01 0.00 19.13 [14.88,14.60,14.81] [ 16.4, 26.8, 29.3] [ 14.8, 25.3, 27.8]
7230064 6 1.03 1.21 47 0.28 -0.00 19.07 [14.82,14.61,14.78] [ 15.6, 25.8, 28.5] [ 14.0, 24.4, 26.8]
7230065 6 1.03 1.21 47 0.27 -0.00 19.08 [14.75,14.51,14.74] [ 15.8, 25.9, 28.6] [ 14.3, 24.6, 27.1]
7230066 6 1.03 1.23 47 -0.02 0.00 19.09 [14.70,14.64,14.71] [ 16.0, 26.3, 28.7] [ 14.4, 24.8, 27.1]
7230067 6 1.03 1.19 47 -0.02 -0.00 19.08 [14.77,14.61,14.76] [ 15.8, 26.0, 28.3] [ 14.4, 24.6, 26.9]
7230068 6 1.03 1.41 47 0.29 0.00 19.02 [14.74,14.80,14.79] [ 15.2, 25.3, 27.2] [ 13.6, 23.6, 25.7]
7230069 6 1.03 1.15 47 0.28 -0.00 19.03 [14.64,14.75,14.85] [ 15.4, 25.6, 27.4] [ 13.6, 24.1, 26.0]
7230070 6 1.03 1.16 47 -0.03 -0.00 18.90 [14.67,14.50,14.64] [ 14.1, 23.4, 25.4] [ 12.2, 22.0, 24.0]

IPAIRNAMESHIFTNEWSHIFTS/N NAMESHIFTNEWSHIFTS/N
0 07230068 0.285 0.000 258.85 07230070 -0.029 0.314 250.40
1 07230061 0.283 0.002 268.55 07230063 -0.011 0.296 272.21
2 07230065 0.270 0.015 267.63 07230066 -0.018 0.303 268.25
3 07230064 0.281 0.004 264.42 07230067 -0.015 0.301 266.90
4 07230069 0.280 0.005 262.20 07230062 -0.015 0.301 265.06
5 07230060 0.281 0.005 255.53 07230059 0.000 0.285 244.99

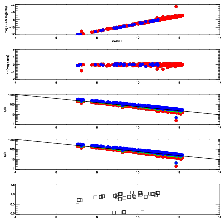
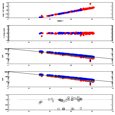
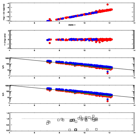
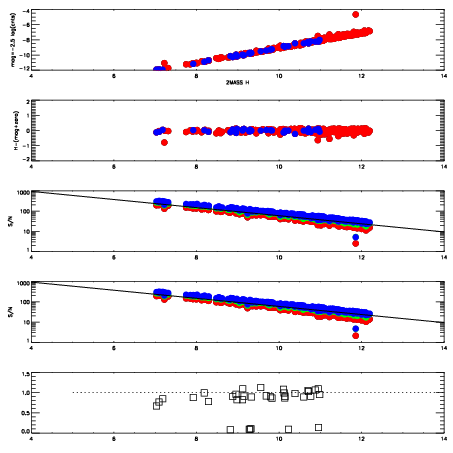
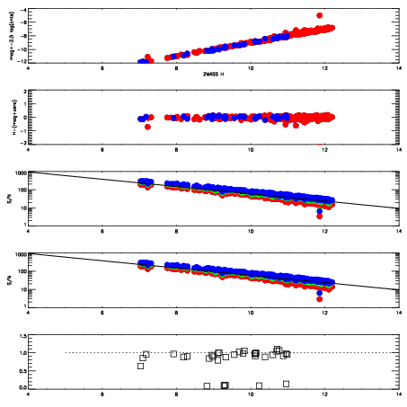
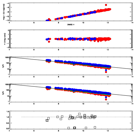
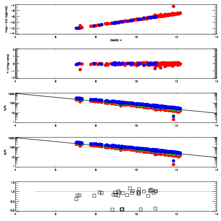
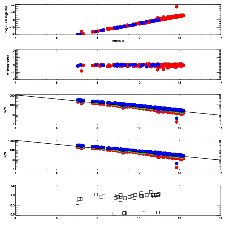
Visit (multiple exposure and dither combined) spectra

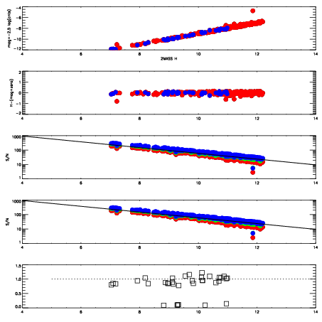
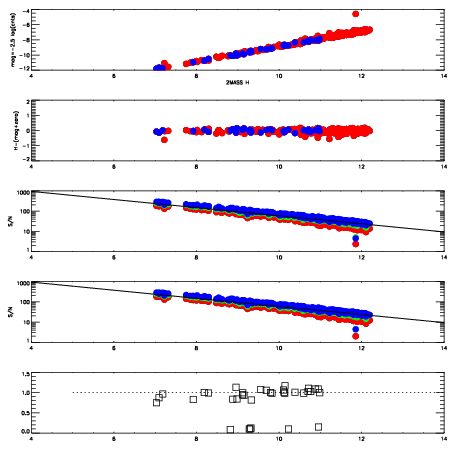
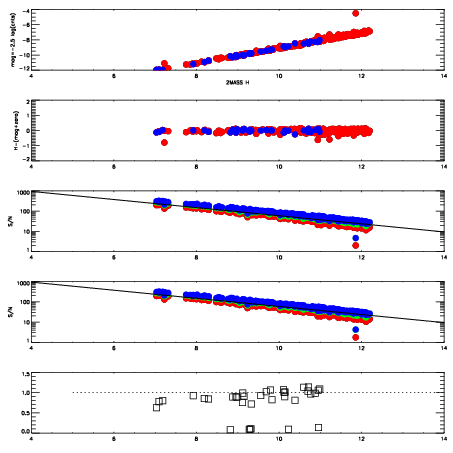
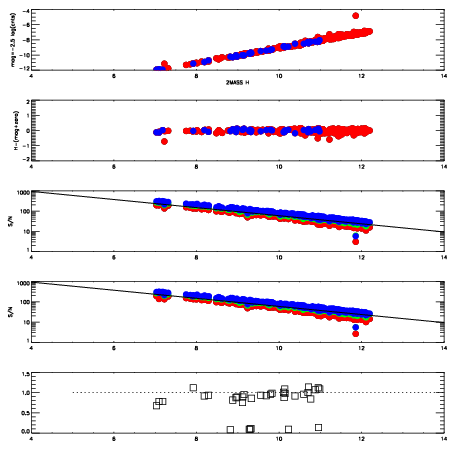
FrameZeropointsMag plots Spatial mag deviation Spatial sky 16325A emission deviations (filled: sky, open: star) Spatial sky continuum emission Spatial sky telluric CO2 absorption deviations (filled: H < 10)
7230059
RedGreenBlue
z18.89
znorm14.71
sky 15.2 14.5 14.4
S/N 14.4 23.5 26.4
S/N(c) 12.8 22.0 25.2
SN(E/C) 0.98
7230060
RedGreenBlue
z19.00
znorm14.82
sky 14.9 14.5 15.0
S/N 15.2 24.9 28.1
S/N(c) 13.7 23.7 26.6
SN(E/C) 0.89
7230061
RedGreenBlue
z19.10
znorm14.92
sky 14.7 14.6 14.9
S/N 16.0 26.3 29.0
S/N(c) 14.3 24.7 27.5
SN(E/C) 0.89
7230062
RedGreenBlue
z19.07
znorm14.89
sky 14.8 14.5 14.8
S/N 15.7 25.8 28.4
S/N(c) 14.1 24.3 27.0
SN(E/C) 0.90
7230063
RedGreenBlue
z19.13
znorm14.95
sky 14.9 14.6 14.8
S/N 16.4 26.8 29.3
S/N(c) 14.8 25.3 27.8
SN(E/C) 0.91
7230064
RedGreenBlue
z19.07
znorm14.89
sky 14.8 14.6 14.8
S/N 15.6 25.8 28.5
S/N(c) 14.0 24.4 26.8
SN(E/C) 0.93
7230065
RedGreenBlue
z19.08
znorm14.90
sky 14.7 14.5 14.7
S/N 15.8 25.9 28.6
S/N(c) 14.3 24.6 27.1
SN(E/C) 0.89
7230066
RedGreenBlue
z19.09
znorm14.91
sky 14.7 14.6 14.7
S/N 16.0 26.3 28.7
S/N(c) 14.4 24.8 27.1
SN(E/C) 0.89
7230067
RedGreenBlue
z19.08
znorm14.90
sky 14.8 14.6 14.8
S/N 15.8 26.0 28.3
S/N(c) 14.4 24.6 26.9
SN(E/C) 0.91
7230068
RedGreenBlue
z19.02
znorm14.84
sky 14.7 14.8 14.8
S/N 15.2 25.3 27.2
S/N(c) 13.6 23.6 25.7
SN(E/C) 0.94
7230069
RedGreenBlue
z19.03
znorm14.85
sky 14.6 14.8 14.9
S/N 15.4 25.6 27.4
S/N(c) 13.6 24.1 26.0
SN(E/C) 0.97
7230070
RedGreenBlue
z18.90
znorm14.72
sky 14.7 14.5 14.6
S/N 14.1 23.4 25.4
S/N(c) 12.2 22.0 24.0
SN(E/C) 0.99