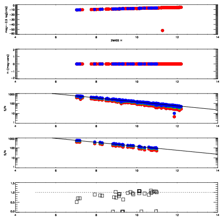
Left plots: red are targets, blue are telluric. Observed mags are calculated from median value of green chip. Zeropoint gives overall throughput: bigger number is more throughput.
First spatial plots: circles are objects, squares are tellurics, crosses are sky fibers. Colors give deviation of observed mag from expected 2MASS mag using the median zeropoint; red is brighter
Second spatial plots: circles are sky fibers. Colors give sky line brightness relative to plate median sky line brightness
FrameNreadsZeropointsMag plots Spatial mag deviation Spatial sky 16325A emission deviations (filled: sky, open: star) Spatial sky continuum emission Spatial sky telluric CO2 absorption deviations (filled: H < 10)
0 0
RedGreenBlue
z17.64
znorm Inf
sky -Inf -Inf -Inf
S/N 28.1 47.0 51.4
S/N(c) 0.0 0.0 0.0
SN(E/C) 0.90

IPAIRNAMESHIFTNEWSHIFTS/N NAMESHIFTNEWSHIFTS/N
0 07230068 0.285386 0.00000 258.847 07230070 -0.0287046 0.314091 250.398
1 07230061 0.283253 0.00213298 268.552 07230063 -0.0108557 0.296242 272.208
2 07230065 0.270267 0.0151190 267.629 07230066 -0.0180486 0.303435 268.253
3 07230064 0.281030 0.00435600 264.423 07230067 -0.0151687 0.300555 266.901
4 07230069 0.279955 0.00543100 262.198 07230062 -0.0151238 0.300510 265.059
5 07230060 0.280702 0.00468400 255.529 07230059 0.00000 0.285386 244.990