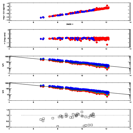
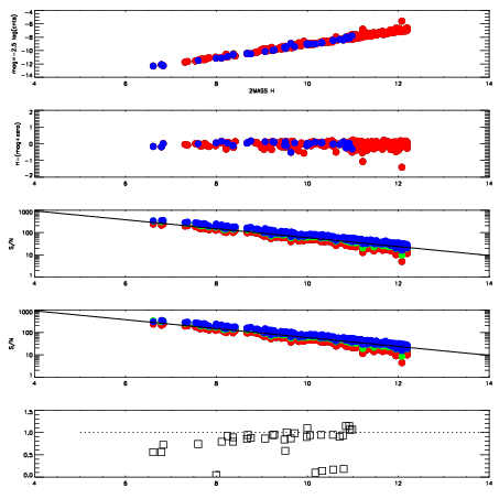
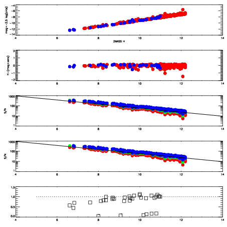
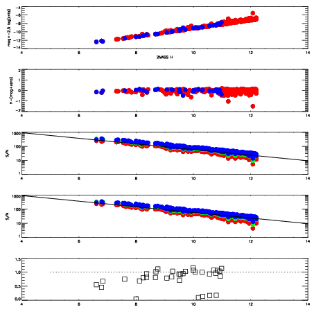
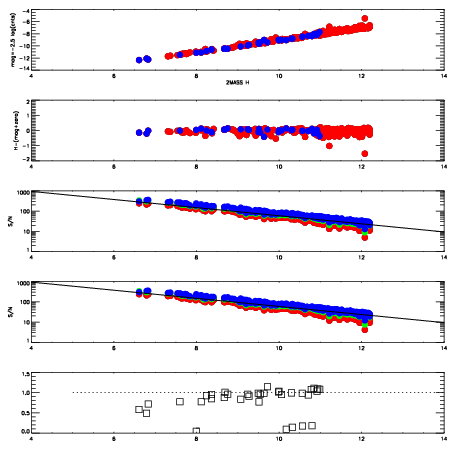
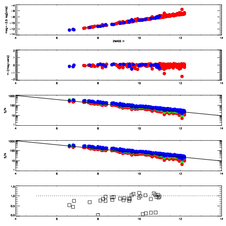
| Frame | Nreads | Zeropoints | Mag plots
| Spatial mag deviation
| Spatial sky 16325A emission deviations (filled: sky, open: star)
| Spatial sky continuum emission
| Spatial sky telluric CO2 absorption deviations (filled: H < 10)
|
| 6950071
| 47
| | Red | Green | Blue
| | z | | 19.08
| | znorm | | 14.90
| | sky | 14.3 | 14.0 | 14.0
| | S/N | 15.2 | 23.7 | 27.5
| | S/N(c) | 13.2 | 22.3 | 25.9
| | SN(E/C) | 0.89
|
|
|
|
|
|
|
| 6950072
| 47
| | Red | Green | Blue
| | z | | 19.13
| | znorm | | 14.95
| | sky | 14.3 | 14.1 | 14.3
| | S/N | 15.3 | 24.6 | 27.9
| | S/N(c) | 13.5 | 22.7 | 26.3
| | SN(E/C) | 0.86
|
|
|
|
|
|
|
| 6950073
| 47
| | Red | Green | Blue
| | z | | 19.15
| | znorm | | 14.97
| | sky | 14.3 | 14.1 | 14.2
| | S/N | 15.6 | 25.1 | 28.3
| | S/N(c) | 13.7 | 22.9 | 26.6
| | SN(E/C) | 0.90
|
|
|
|
|
|
|
| 6950074
| 47
| | Red | Green | Blue
| | z | | 19.15
| | znorm | | 14.97
| | sky | 14.4 | 14.2 | 14.3
| | S/N | 15.6 | 25.3 | 28.5
| | S/N(c) | 13.7 | 23.1 | 26.9
| | SN(E/C) | 0.90
|
|
|
|
|
|
|
| 6950075
| 47
| | Red | Green | Blue
| | z | | 19.16
| | znorm | | 14.98
| | sky | 14.4 | 14.3 | 14.3
| | S/N | 15.6 | 25.5 | 28.7
| | S/N(c) | 14.1 | 23.1 | 27.0
| | SN(E/C) | 0.91
|
|
|
|
|
|
|
| 6950076
| 47
| | Red | Green | Blue
| | z | | 19.15
| | znorm | | 14.96
| | sky | 14.3 | 14.2 | 14.3
| | S/N | 15.3 | 24.8 | 28.4
| | S/N(c) | 13.7 | 22.8 | 26.6
| | SN(E/C) | 0.91
|
|
|
|
|
|
|
| 6950077
| 47
| | Red | Green | Blue
| | z | | 19.08
| | znorm | | 14.90
| | sky | 14.3 | 14.3 | 14.3
| | S/N | 14.8 | 24.1 | 27.1
| | S/N(c) | 12.9 | 22.1 | 25.5
| | SN(E/C) | 0.95
|
|
|
|
|
|
|
| 6950078
| 47
| | Red | Green | Blue
| | z | | 19.08
| | znorm | | 14.90
| | sky | 14.4 | 14.4 | 14.3
| | S/N | 14.8 | 24.1 | 27.2
| | S/N(c) | 13.2 | 22.3 | 25.8
| | SN(E/C) | 0.91
|
|
|
|
|
|
|