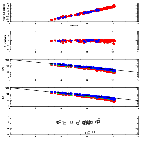
| Frame | Nreads | Zeropoints | Mag plots
| Spatial mag deviation
| Spatial sky 16325A emission deviations (filled: sky, open: star)
| Spatial sky continuum emission
| Spatial sky telluric CO2 absorption deviations (filled: H < 10)
|
| 7050026
| 47
| | Red | Green | Blue
| | z | | 18.45
| | znorm | | 14.27
| | sky | 15.0 | 14.7 | 14.4
| | S/N | 9.6 | 16.8 | 16.8
| | S/N(c) | 8.3 | 15.7 | 16.0
| | SN(E/C) | 0.95
|
|
|
|
|
|
|
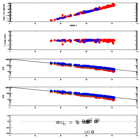
| 7050027
| 47
| | Red | Green | Blue
| | z | | 18.52
| | znorm | | 14.34
| | sky | 14.7 | 14.6 | 14.8
| | S/N | 10.1 | 17.6 | 18.7
| | S/N(c) | 8.6 | 16.0 | 17.3
| | SN(E/C) | 0.99
|
|
|
|
|
|
|
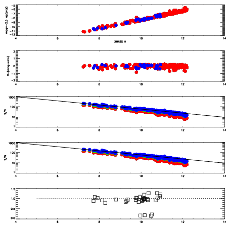
| 7050028
| 47
| | Red | Green | Blue
| | z | | 18.55
| | znorm | | 14.37
| | sky | 14.6 | 14.6 | 14.8
| | S/N | 10.6 | 18.2 | 19.3
| | S/N(c) | 9.1 | 16.7 | 17.8
| | SN(E/C) | 0.99
|
|
|
|
|
|
|
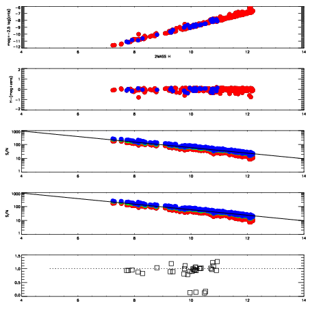
| 7050029
| 47
| | Red | Green | Blue
| | z | | 18.82
| | znorm | | 14.64
| | sky | 14.9 | 14.7 | 14.8
| | S/N | 12.7 | 21.6 | 22.4
| | S/N(c) | 11.1 | 19.8 | 21.0
| | SN(E/C) | 0.96
|
|
|
|
|
|
|
| 7050030
| 47
| | Red | Green | Blue
| | z | | 18.98
| | znorm | | 14.80
| | sky | 14.7 | 14.7 | 14.8
| | S/N | 14.2 | 23.5 | 24.6
| | S/N(c) | 12.3 | 21.6 | 23.0
| | SN(E/C) | 1.00
|
|
|
|
|
|
|
| 7050031
| 47
| | Red | Green | Blue
| | z | | 18.92
| | znorm | | 14.74
| | sky | 14.6 | 14.6 | 14.7
| | S/N | 13.5 | 22.7 | 23.5
| | S/N(c) | 12.1 | 21.0 | 22.0
| | SN(E/C) | 0.95
|
|
|
|
|
|
|
| 7050032
| 47
| | Red | Green | Blue
| | z | | 18.94
| | znorm | | 14.76
| | sky | 14.8 | 14.6 | 14.6
| | S/N | 13.9 | 23.1 | 23.8
| | S/N(c) | 12.0 | 21.3 | 22.3
| | SN(E/C) | 0.97
|
|
|
|
|
|
|
| 7050033
| 47
| | Red | Green | Blue
| | z | | 18.92
| | znorm | | 14.74
| | sky | 14.8 | 14.6 | 14.6
| | S/N | 13.9 | 23.1 | 23.6
| | S/N(c) | 12.0 | 21.2 | 21.9
| | SN(E/C) | 0.95
|
|
|
|
|
|
|