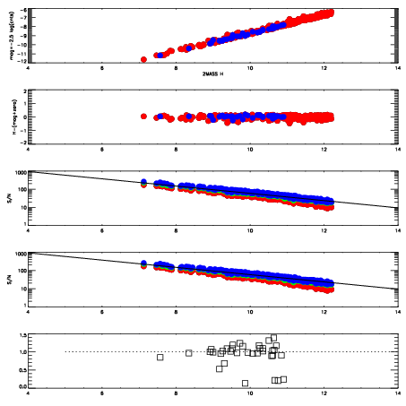
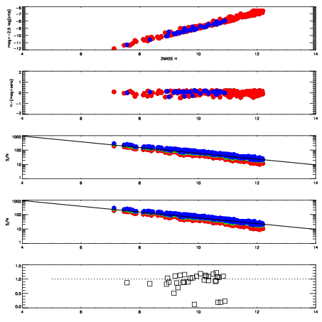
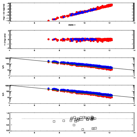
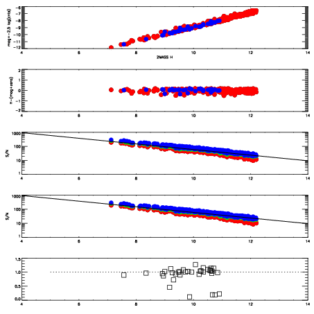
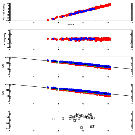
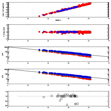
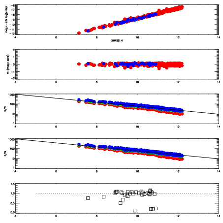
| Frame | Nreads | Zeropoints | Mag plots
| Spatial mag deviation
| Spatial sky 16325A emission deviations (filled: sky, open: star)
| Spatial sky continuum emission
| Spatial sky telluric CO2 absorption deviations (filled: H < 10)
|
| 7280059
| 47
| | Red | Green | Blue
| | z | | 18.87
| | znorm | | 14.69
| | sky | 15.3 | 14.5 | 14.6
| | S/N | 13.8 | 22.8 | 24.8
| | S/N(c) | 12.2 | 21.1 | 23.4
| | SN(E/C) | 0.97
|
|
|
|
|
|
|
| 7280060
| 47
| | Red | Green | Blue
| | z | | 18.91
| | znorm | | 14.73
| | sky | 15.2 | 14.6 | 15.0
| | S/N | 13.7 | 23.3 | 25.0
| | S/N(c) | 12.1 | 21.5 | 23.6
| | SN(E/C) | 1.00
|
|
|
|
|
|
|
| 7280061
| 47
| | Red | Green | Blue
| | z | | 18.92
| | znorm | | 14.74
| | sky | 15.0 | 14.5 | 14.9
| | S/N | 13.6 | 23.2 | 25.0
| | S/N(c) | 12.2 | 21.5 | 23.4
| | SN(E/C) | 1.00
|
|
|
|
|
|
|
| 7280062
| 47
| | Red | Green | Blue
| | z | | 18.93
| | znorm | | 14.75
| | sky | 15.3 | 14.6 | 14.9
| | S/N | 13.8 | 22.9 | 24.8
| | S/N(c) | 12.2 | 21.2 | 23.2
| | SN(E/C) | 0.97
|
|
|
|
|
|
|
| 7280063
| 47
| | Red | Green | Blue
| | z | | 18.70
| | znorm | | 14.52
| | sky | 15.0 | 14.8 | 15.1
| | S/N | 11.7 | 20.3 | 21.5
| | S/N(c) | 10.3 | 18.7 | 20.2
| | SN(E/C) | 1.00
|
|
|
|
|
|
|
| 7280064
| 47
| | Red | Green | Blue
| | z | | 18.82
| | znorm | | 14.64
| | sky | 15.2 | 14.8 | 15.0
| | S/N | 12.5 | 21.4 | 22.8
| | S/N(c) | 11.1 | 19.6 | 21.5
| | SN(E/C) | 0.97
|
|
|
|
|
|
|
| 7280065
| 47
| | Red | Green | Blue
| | z | | 18.77
| | znorm | | 14.59
| | sky | 14.9 | 14.8 | 14.9
| | S/N | 12.2 | 20.5 | 22.1
| | S/N(c) | 10.5 | 18.9 | 20.8
| | SN(E/C) | 0.98
|
|
|
|
|
|
|
| 7280066
| 47
| | Red | Green | Blue
| | z | | 18.67
| | znorm | | 14.49
| | sky | 15.0 | 14.8 | 15.0
| | S/N | 11.2 | 19.0 | 20.6
| | S/N(c) | 9.5 | 17.7 | 19.2
| | SN(E/C) | 0.99
|
|
|
|
|
|
|