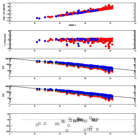
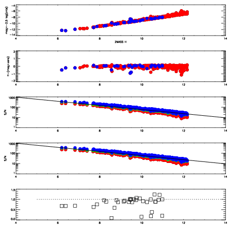
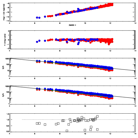
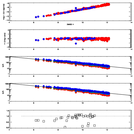
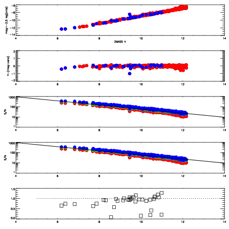
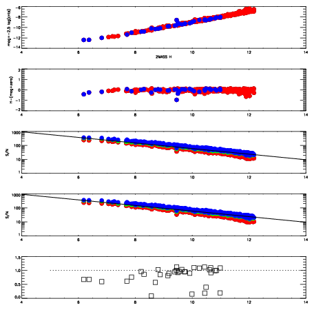
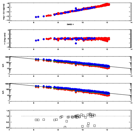
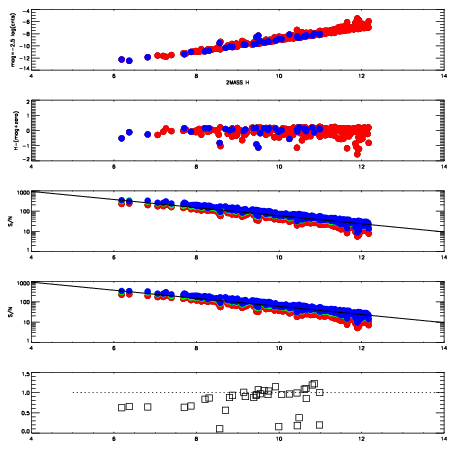
| Frame | Nreads | Zeropoints | Mag plots
| Spatial mag deviation
| Spatial sky 16325A emission deviations (filled: sky, open: star)
| Spatial sky continuum emission
| Spatial sky telluric CO2 absorption deviations (filled: H < 10)
|
| 6660089
| 47
| | Red | Green | Blue
| | z | | 18.90
| | znorm | | 14.72
| | sky | 14.5 | 14.2 | 14.0
| | S/N | 14.0 | 22.8 | 23.3
| | S/N(c) | 12.1 | 21.0 | 22.6
| | SN(E/C) | 0.90
|
|
|
|
|
|
|
| 6660090
| 47
| | Red | Green | Blue
| | z | | 18.99
| | znorm | | 14.81
| | sky | 14.5 | 14.2 | 14.4
| | S/N | 14.3 | 23.5 | 24.6
| | S/N(c) | 12.4 | 21.7 | 23.5
| | SN(E/C) | 0.95
|
|
|
|
|
|
|
| 6660091
| 47
| | Red | Green | Blue
| | z | | 18.96
| | znorm | | 14.78
| | sky | 14.7 | 14.2 | 14.3
| | S/N | 13.1 | 21.9 | 23.2
| | S/N(c) | 11.3 | 20.4 | 21.4
| | SN(E/C) | 0.93
|
|
|
|
|
|
|
| 6660092
| 47
| | Red | Green | Blue
| | z | | 18.92
| | znorm | | 14.74
| | sky | 14.5 | 14.4 | 14.3
| | S/N | 12.6 | 21.9 | 23.1
| | S/N(c) | 10.4 | 19.1 | 20.8
| | SN(E/C) | 0.93
|
|
|
|
|
|
|
| 6660093
| 47
| | Red | Green | Blue
| | z | | 18.99
| | znorm | | 14.81
| | sky | 14.5 | 14.2 | 14.2
| | S/N | 13.5 | 23.1 | 24.2
| | S/N(c) | 10.9 | 20.1 | 21.4
| | SN(E/C) | 0.92
|
|
|
|
|
|
|
| 6660094
| 47
| | Red | Green | Blue
| | z | | 19.02
| | znorm | | 14.84
| | sky | 14.2 | 14.3 | 14.3
| | S/N | 13.5 | 23.2 | 24.1
| | S/N(c) | 11.0 | 20.2 | 21.7
| | SN(E/C) | 0.95
|
|
|
|
|
|
|
| 6660095
| 47
| | Red | Green | Blue
| | z | | 18.99
| | znorm | | 14.81
| | sky | 14.5 | 14.3 | 14.3
| | S/N | 14.0 | 23.1 | 24.8
| | S/N(c) | 11.3 | 20.7 | 22.0
| | SN(E/C) | 0.92
|
|
|
|
|
|
|
| 6660096
| 47
| | Red | Green | Blue
| | z | | 18.96
| | znorm | | 14.78
| | sky | 14.5 | 14.3 | 14.2
| | S/N | 13.3 | 22.7 | 23.6
| | S/N(c) | 11.1 | 19.7 | 21.4
| | SN(E/C) | 0.89
|
|
|
|
|
|
|
| 6660097
| 47
| | Red | Green | Blue
| | z | | 18.99
| | znorm | | 14.80
| | sky | 14.5 | 14.5 | 14.3
| | S/N | 13.4 | 22.9 | 23.7
| | S/N(c) | 11.0 | 19.7 | 21.4
| | SN(E/C) | 0.93
|
|
|
|
|
|
|
| 6660098
| 47
| | Red | Green | Blue
| | z | | 18.93
| | znorm | | 14.75
| | sky | 14.5 | 14.5 | 14.4
| | S/N | 12.4 | 21.7 | 22.4
| | S/N(c) | 10.7 | 19.6 | 21.1
| | SN(E/C) | 0.93
|
|
|
|
|
|
|
| 6660099
| 47
| | Red | Green | Blue
| | z | | 18.88
| | znorm | | 14.70
| | sky | 14.5 | 14.5 | 14.4
| | S/N | 12.1 | 21.5 | 22.1
| | S/N(c) | 10.6 | 19.4 | 20.6
| | SN(E/C) | 0.91
|
|
|
|
|
|
|
| 6660100
| 47
| | Red | Green | Blue
| | z | | 18.79
| | znorm | | 14.61
| | sky | 14.6 | 14.4 | 14.4
| | S/N | 11.3 | 20.4 | 21.0
| | S/N(c) | 9.8 | 18.2 | 19.4
| | SN(E/C) | 0.91
|
|
|
|
|
|
|