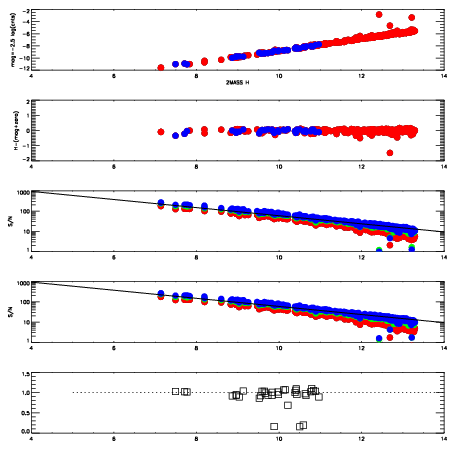
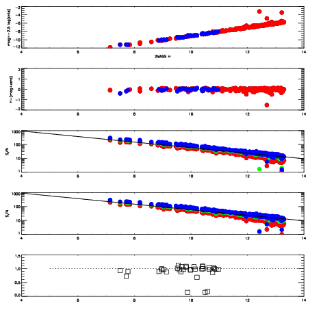
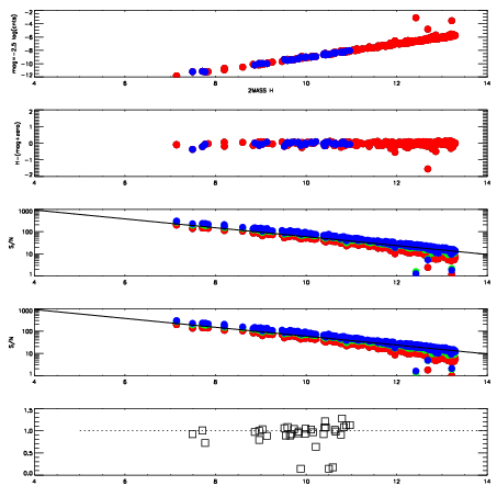
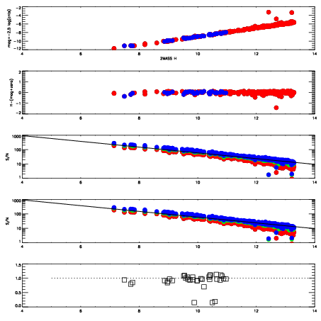
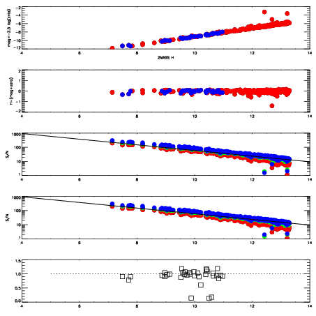
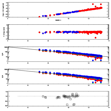
| Frame | Nreads | Zeropoints | Mag plots
| Spatial mag deviation
| Spatial sky 16325A emission deviations (filled: sky, open: star)
| Spatial sky continuum emission
| Spatial sky telluric CO2 absorption deviations (filled: H < 10)
|
| 6420085
| 47
| | Red | Green | Blue
| | z | | 19.07
| | znorm | | 14.89
| | sky | 14.8 | 14.4 | 14.3
| | S/N | 15.6 | 24.0 | 27.2
| | S/N(c) | 13.6 | 23.1 | 25.8
| | SN(E/C) | 0.97
|
|
|
|
|
|
|
| 6420086
| 47
| | Red | Green | Blue
| | z | | 18.94
| | znorm | | 14.76
| | sky | 14.3 | 14.1 | 14.4
| | S/N | 14.1 | 22.3 | 25.5
| | S/N(c) | 12.3 | 21.1 | 23.6
| | SN(E/C) | 0.96
|
|
|
|
|
|
|
| 6420087
| 47
| | Red | Green | Blue
| | z | | 19.04
| | znorm | | 14.86
| | sky | 15.0 | 14.4 | 14.8
| | S/N | 15.5 | 23.9 | 27.0
| | S/N(c) | 13.4 | 22.7 | 25.3
| | SN(E/C) | 0.96
|
|
|
|
|
|
|
| 6420088
| 47
| | Red | Green | Blue
| | z | | 19.02
| | znorm | | 14.84
| | sky | 14.4 | 14.3 | 14.5
| | S/N | 14.9 | 23.5 | 26.4
| | S/N(c) | 13.2 | 22.4 | 25.1
| | SN(E/C) | 0.95
|
|
|
|
|
|
|
| 6420089
| 47
| | Red | Green | Blue
| | z | | 19.06
| | znorm | | 14.88
| | sky | 14.5 | 14.3 | 14.5
| | S/N | 15.3 | 24.2 | 26.8
| | S/N(c) | 13.4 | 23.0 | 25.6
| | SN(E/C) | 0.98
|
|
|
|
|
|
|
| 6420090
| 47
| | Red | Green | Blue
| | z | | 19.01
| | znorm | | 14.82
| | sky | 14.0 | 14.1 | 14.3
| | S/N | 14.6 | 23.6 | 25.8
| | S/N(c) | 12.7 | 22.2 | 24.3
| | SN(E/C) | 0.92
|
|
|
|
|
|
|
| 6420091
| 47
| | Red | Green | Blue
| | z | | 18.83
| | znorm | | 14.65
| | sky | 14.0 | 14.0 | 14.1
| | S/N | 13.0 | 20.6 | 23.5
| | S/N(c) | 11.0 | 19.5 | 21.8
| | SN(E/C) | 0.99
|
|
|
|
|
|
|
| 6420092
| 47
| | Red | Green | Blue
| | z | | 19.10
| | znorm | | 14.92
| | sky | 14.5 | 14.6 | 14.8
| | S/N | 15.4 | 25.1 | 27.2
| | S/N(c) | 13.7 | 23.6 | 25.7
| | SN(E/C) | 0.95
|
|
|
|
|
|
|