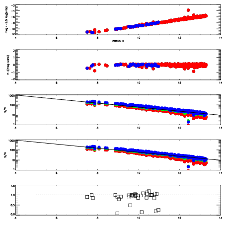
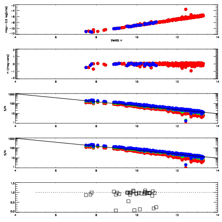
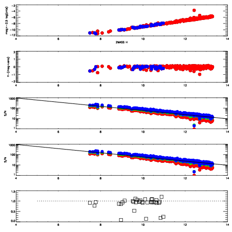
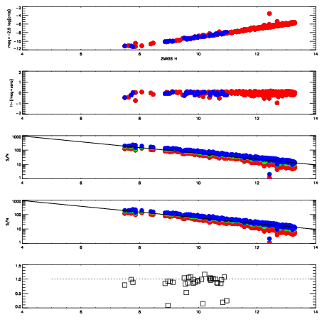
| Frame | Nreads | Zeropoints | Mag plots
| Spatial mag deviation
| Spatial sky 16325A emission deviations (filled: sky, open: star)
| Spatial sky continuum emission
| Spatial sky telluric CO2 absorption deviations (filled: H < 10)
|
| 6690073
| 47
| | Red | Green | Blue
| | z | | 19.04
| | znorm | | 14.86
| | sky | 15.2 | 14.6 | 14.8
| | S/N | 15.0 | 23.0 | 28.1
| | S/N(c) | 13.2 | 21.2 | 26.8
| | SN(E/C) | 0.95
|
|
|
|
|
|
|
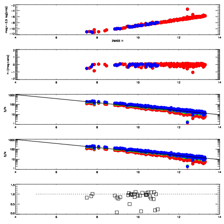
| 6690074
| 47
| | Red | Green | Blue
| | z | | 19.05
| | znorm | | 14.87
| | sky | 14.8 | 14.6 | 15.0
| | S/N | 14.9 | 23.4 | 27.6
| | S/N(c) | 13.0 | 21.7 | 26.4
| | SN(E/C) | 0.95
|
|
|
|
|
|
|
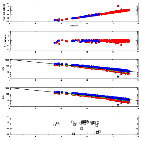
| 6690075
| 47
| | Red | Green | Blue
| | z | | 19.09
| | znorm | | 14.91
| | sky | 15.0 | 14.7 | 15.0
| | S/N | 15.7 | 23.9 | 27.3
| | S/N(c) | 13.8 | 22.1 | 26.1
| | SN(E/C) | 0.94
|
|
|
|
|
|
|
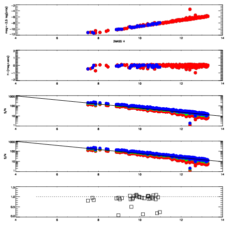
| 6690076
| 47
| | Red | Green | Blue
| | z | | 19.04
| | znorm | | 14.86
| | sky | 14.9 | 14.7 | 15.2
| | S/N | 15.0 | 23.3 | 27.3
| | S/N(c) | 13.2 | 21.7 | 25.0
| | SN(E/C) | 0.93
|
|
|
|
|
|
|
| 6690077
| 47
| | Red | Green | Blue
| | z | | 19.07
| | znorm | | 14.89
| | sky | 14.8 | 14.7 | 15.2
| | S/N | 15.2 | 23.6 | 27.9
| | S/N(c) | 13.7 | 22.1 | 25.6
| | SN(E/C) | 0.92
|
|
|
|
|
|
|
| 6690078
| 47
| | Red | Green | Blue
| | z | | 19.06
| | znorm | | 14.88
| | sky | 14.9 | 14.9 | 15.2
| | S/N | 15.2 | 23.5 | 27.6
| | S/N(c) | 13.7 | 21.7 | 25.4
| | SN(E/C) | 0.98
|
|
|
|
|
|
|
| 6690079
| 47
| | Red | Green | Blue
| | z | | 18.99
| | znorm | | 14.81
| | sky | 15.0 | 14.7 | 15.3
| | S/N | 14.6 | 22.4 | 27.0
| | S/N(c) | 13.0 | 20.8 | 24.7
| | SN(E/C) | 0.98
|
|
|
|
|
|
|
| 6690080
| 47
| | Red | Green | Blue
| | z | | 18.99
| | znorm | | 14.81
| | sky | 15.1 | 14.9 | 15.1
| | S/N | 14.6 | 22.4 | 26.7
| | S/N(c) | 13.0 | 20.8 | 24.4
| | SN(E/C) | 0.97
|
|
|
|
|
|
|