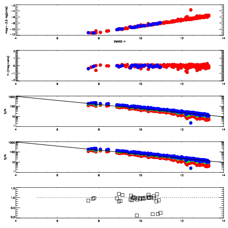
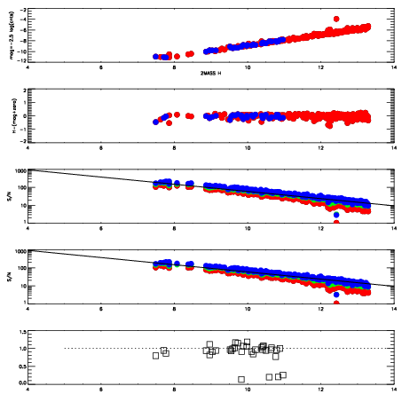
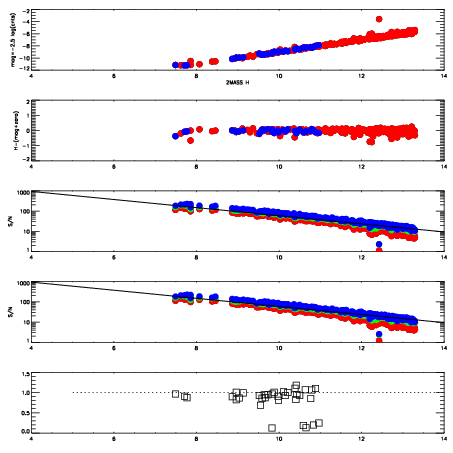
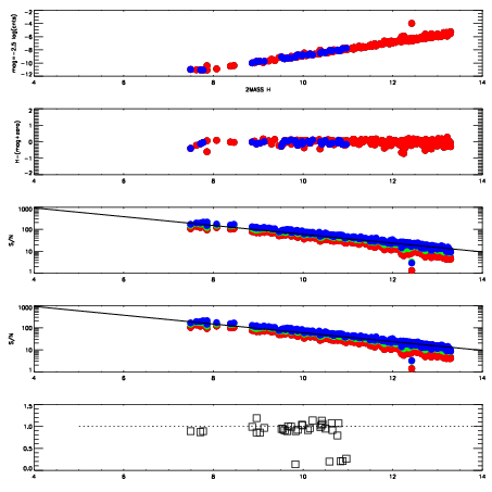
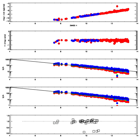
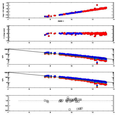
| Frame | Nreads | Zeropoints | Mag plots
| Spatial mag deviation
| Spatial sky 16325A emission deviations (filled: sky, open: star)
| Spatial sky continuum emission
| Spatial sky telluric CO2 absorption deviations (filled: H < 10)
|
| 6740047
| 47
| | Red | Green | Blue
| | z | | 18.89
| | znorm | | 14.71
| | sky | 15.5 | 14.8 | 14.7
| | S/N | 13.0 | 21.2 | 26.4
| | S/N(c) | 11.6 | 19.7 | 24.9
| | SN(E/C) | 0.97
|
|
|
|
|
|
|
| 6740048
| 47
| | Red | Green | Blue
| | z | | 18.93
| | znorm | | 14.75
| | sky | 14.9 | 14.8 | 15.4
| | S/N | 13.3 | 21.5 | 27.0
| | S/N(c) | 11.8 | 20.3 | 25.4
| | SN(E/C) | 0.96
|
|
|
|
|
|
|
| 6740049
| 47
| | Red | Green | Blue
| | z | | 18.91
| | znorm | | 14.73
| | sky | 15.2 | 15.0 | 15.0
| | S/N | 13.4 | 21.4 | 26.4
| | S/N(c) | 12.0 | 20.1 | 24.9
| | SN(E/C) | 0.96
|
|
|
|
|
|
|
| 6740050
| 47
| | Red | Green | Blue
| | z | | 18.86
| | znorm | | 14.68
| | sky | 15.1 | 14.8 | 15.3
| | S/N | 12.9 | 20.6 | 25.5
| | S/N(c) | 11.5 | 19.2 | 24.1
| | SN(E/C) | 0.94
|
|
|
|
|
|
|
| 6740051
| 47
| | Red | Green | Blue
| | z | | 19.02
| | znorm | | 14.84
| | sky | 14.9 | 15.0 | 15.1
| | S/N | 14.3 | 22.3 | 27.5
| | S/N(c) | 12.7 | 21.0 | 25.7
| | SN(E/C) | 0.97
|
|
|
|
|
|
|
| 6740052
| 47
| | Red | Green | Blue
| | z | | 19.00
| | znorm | | 14.82
| | sky | 15.1 | 15.0 | 15.2
| | S/N | 14.0 | 22.2 | 27.5
| | S/N(c) | 12.5 | 20.5 | 25.8
| | SN(E/C) | 0.93
|
|
|
|
|
|
|
| 6740053
| 47
| | Red | Green | Blue
| | z | | 19.02
| | znorm | | 14.84
| | sky | 15.2 | 15.0 | 15.1
| | S/N | 14.2 | 22.7 | 27.5
| | S/N(c) | 12.8 | 20.9 | 26.0
| | SN(E/C) | 0.97
|
|
|
|
|
|
|
| 6740054
| 47
| | Red | Green | Blue
| | z | | 18.91
| | znorm | | 14.73
| | sky | 15.3 | 15.2 | 15.3
| | S/N | 13.2 | 21.4 | 25.9
| | S/N(c) | 11.7 | 19.7 | 24.6
| | SN(E/C) | 0.99
|
|
|
|
|
|
|