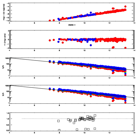
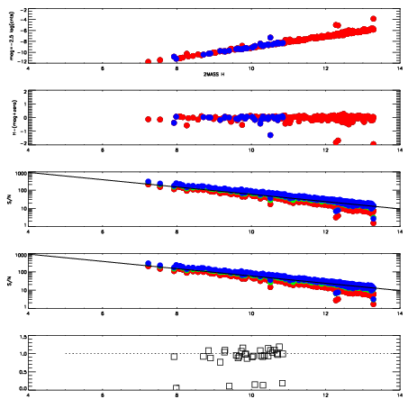
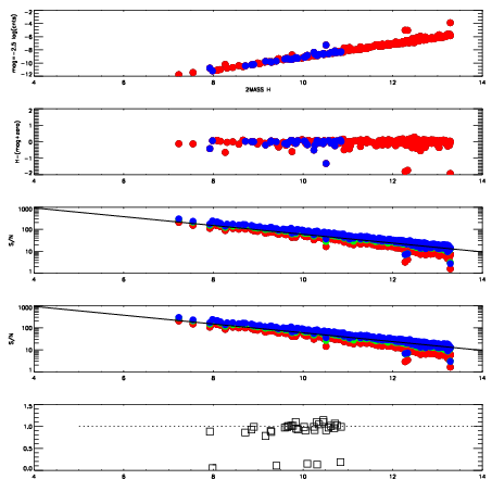
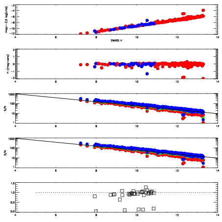
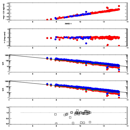
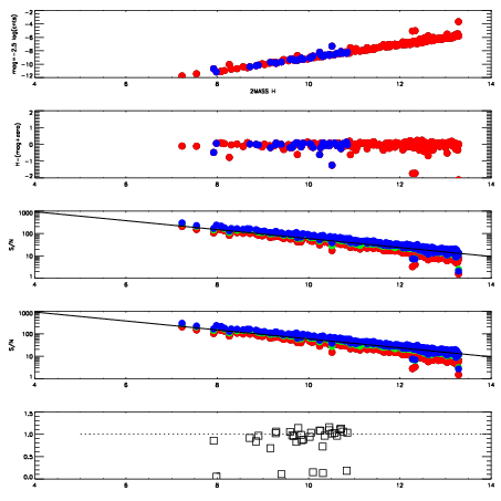
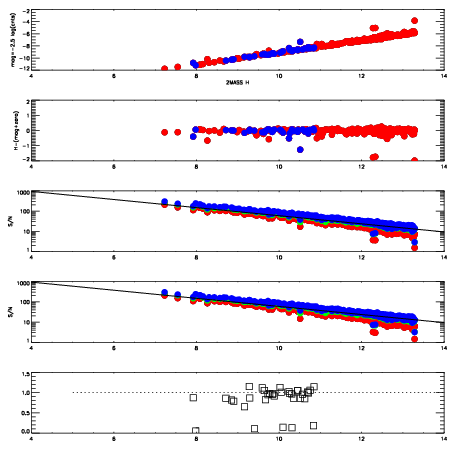
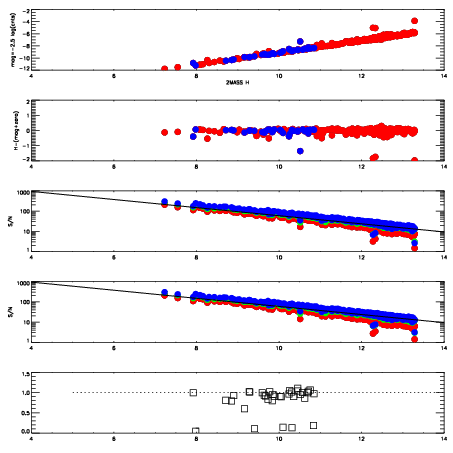
| Frame | Nreads | Zeropoints | Mag plots
| Spatial mag deviation
| Spatial sky 16325A emission deviations (filled: sky, open: star)
| Spatial sky continuum emission
| Spatial sky telluric CO2 absorption deviations (filled: H < 10)
|
| 6660067
| 47
| | Red | Green | Blue
| | z | | 19.08
| | znorm | | 14.90
| | sky | 14.7 | 14.1 | 14.2
| | S/N | 16.3 | 24.4 | 29.2
| | S/N(c) | 14.1 | 22.9 | 28.0
| | SN(E/C) | 0.97
|
|
|
|
|
|
|
| 6660068
| 47
| | Red | Green | Blue
| | z | | 19.11
| | znorm | | 14.93
| | sky | 14.8 | 14.6 | 15.0
| | S/N | 16.2 | 24.9 | 30.1
| | S/N(c) | 14.3 | 23.3 | 28.5
| | SN(E/C) | 0.95
|
|
|
|
|
|
|
| 6660069
| 47
| | Red | Green | Blue
| | z | | 19.11
| | znorm | | 14.93
| | sky | 15.2 | 14.7 | 15.0
| | S/N | 16.1 | 24.8 | 29.7
| | S/N(c) | 13.9 | 23.1 | 28.3
| | SN(E/C) | 0.97
|
|
|
|
|
|
|
| 6660070
| 47
| | Red | Green | Blue
| | z | | 19.10
| | znorm | | 14.92
| | sky | 14.9 | 14.7 | 14.8
| | S/N | 16.1 | 24.7 | 29.4
| | S/N(c) | 14.0 | 23.0 | 28.1
| | SN(E/C) | 0.95
|
|
|
|
|
|
|
| 6660071
| 47
| | Red | Green | Blue
| | z | | 19.16
| | znorm | | 14.98
| | sky | 14.9 | 14.7 | 15.0
| | S/N | 16.4 | 26.1 | 29.7
| | S/N(c) | 14.3 | 24.2 | 28.5
| | SN(E/C) | 0.93
|
|
|
|
|
|
|
| 6660072
| 47
| | Red | Green | Blue
| | z | | 19.13
| | znorm | | 14.95
| | sky | 14.9 | 14.8 | 15.0
| | S/N | 16.4 | 25.5 | 29.7
| | S/N(c) | 14.4 | 23.7 | 28.2
| | SN(E/C) | 0.93
|
|
|
|
|
|
|
| 6660073
| 47
| | Red | Green | Blue
| | z | | 19.13
| | znorm | | 14.95
| | sky | 15.0 | 14.8 | 15.0
| | S/N | 16.0 | 25.2 | 29.3
| | S/N(c) | 13.9 | 23.3 | 27.9
| | SN(E/C) | 0.95
|
|
|
|
|
|
|
| 6660074
| 47
| | Red | Green | Blue
| | z | | 19.09
| | znorm | | 14.91
| | sky | 15.0 | 14.9 | 14.9
| | S/N | 15.8 | 24.4 | 29.0
| | S/N(c) | 13.9 | 22.7 | 27.4
| | SN(E/C) | 0.95
|
|
|
|
|
|
|