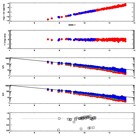
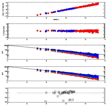
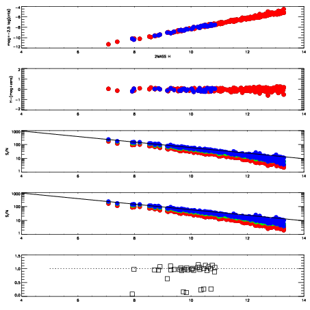
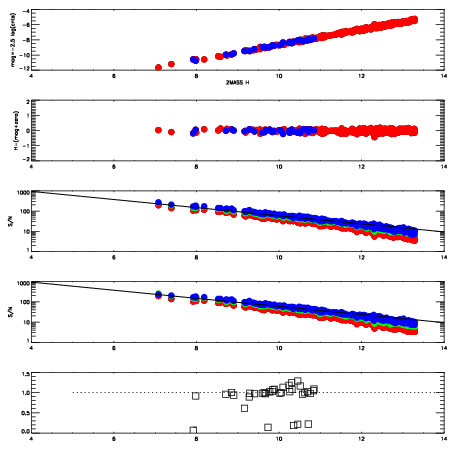
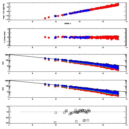
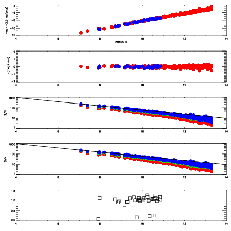
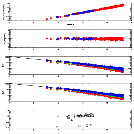
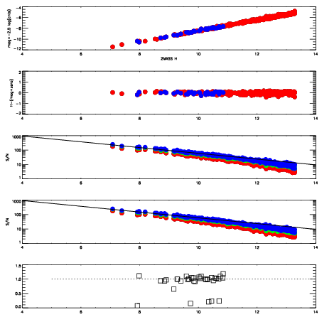
| Frame | Nreads | Zeropoints | Mag plots
| Spatial mag deviation
| Spatial sky 16325A emission deviations (filled: sky, open: star)
| Spatial sky continuum emission
| Spatial sky telluric CO2 absorption deviations (filled: H < 10)
|
| 6420074
| 47
| | Red | Green | Blue
| | z | | 18.31
| | znorm | | 14.13
| | sky | 13.3 | 13.2 | 13.2
| | S/N | 9.0 | 14.5 | 15.6
| | S/N(c) | 7.7 | 12.9 | 14.9
| | SN(E/C) | 0.97
|
|
|
|
|
|
|
| 6420075
| 47
| | Red | Green | Blue
| | z | | 18.26
| | znorm | | 14.08
| | sky | 13.2 | 13.1 | 13.2
| | S/N | 8.3 | 14.3 | 15.4
| | S/N(c) | 7.1 | 12.5 | 14.4
| | SN(E/C) | 1.02
|
|
|
|
|
|
|
| 6420076
| 47
| | Red | Green | Blue
| | z | | 18.27
| | znorm | | 14.09
| | sky | 13.1 | 13.1 | 13.1
| | S/N | 8.3 | 14.1 | 14.9
| | S/N(c) | 7.3 | 12.0 | 13.9
| | SN(E/C) | 1.00
|
|
|
|
|
|
|
| 6420077
| 47
| | Red | Green | Blue
| | z | | 18.22
| | znorm | | 14.04
| | sky | 13.2 | 13.1 | 13.2
| | S/N | 8.0 | 13.8 | 14.7
| | S/N(c) | 6.9 | 11.7 | 13.7
| | SN(E/C) | 1.00
|
|
|
|
|
|
|
| 6420078
| 47
| | Red | Green | Blue
| | z | | 18.24
| | znorm | | 14.06
| | sky | 13.0 | 13.0 | 13.0
| | S/N | 8.1 | 13.8 | 14.4
| | S/N(c) | 6.7 | 11.7 | 13.4
| | SN(E/C) | 0.98
|
|
|
|
|
|
|
| 6420079
| 47
| | Red | Green | Blue
| | z | | 18.41
| | znorm | | 14.23
| | sky | 13.1 | 13.1 | 13.1
| | S/N | 9.3 | 15.8 | 16.5
| | S/N(c) | 8.0 | 13.5 | 15.6
| | SN(E/C) | 1.01
|
|
|
|
|
|
|
| 6420080
| 47
| | Red | Green | Blue
| | z | | 18.48
| | znorm | | 14.30
| | sky | 13.2 | 13.1 | 13.2
| | S/N | 10.1 | 16.8 | 17.7
| | S/N(c) | 8.6 | 14.6 | 16.5
| | SN(E/C) | 0.99
|
|
|
|
|
|
|
| 6420081
| 47
| | Red | Green | Blue
| | z | | 18.68
| | znorm | | 14.50
| | sky | 13.4 | 13.4 | 13.4
| | S/N | 11.7 | 19.6 | 20.6
| | S/N(c) | 9.9 | 17.2 | 19.3
| | SN(E/C) | 0.99
|
|
|
|
|
|
|