PLATE: 6337 MJD: 56231 FIELD: 165-04

FrameCartsec zseeingNreadsDitherPixshiftZerosky continuumS/NS/N(c)
6690062 3 1.03 1.39 47 0.00 0.00 19.04 [15.14,14.46,14.37] [ 14.8, 24.2, 26.2] [ 13.0, 22.6, 25.3]
6690063 3 1.03 1.06 47 0.41 -0.00 19.14 [14.90,14.62,14.79] [ 16.0, 25.5, 27.6] [ 13.8, 24.1, 25.6]
6690064 3 1.02 1.11 47 0.41 -0.00 19.09 [14.98,14.73,15.02] [ 15.3, 24.9, 26.3] [ 13.3, 23.6, 24.3]
6690065 3 1.02 1.17 47 0.04 0.00 19.03 [14.98,14.89,15.05] [ 14.4, 24.2, 25.5] [ 12.9, 22.8, 23.6]
6690066 3 1.01 1.07 47 0.05 0.00 18.99 [14.96,14.95,15.05] [ 14.4, 23.8, 24.6] [ 13.0, 22.5, 23.2]
6690067 3 1.01 1.93 47 0.43 0.00 19.05 [15.02,14.82,15.08] [ 15.0, 24.6, 25.5] [ 13.3, 23.2, 23.9]
6690068 3 1.01 1.18 47 0.43 -0.00 19.12 [14.87,14.80,14.82] [ 15.4, 25.6, 26.7] [ 13.7, 23.9, 24.9]
6690069 3 1.01 1.02 47 0.04 -0.00 19.13 [14.78,14.68,14.94] [ 15.5, 25.2, 26.8] [ 13.6, 23.7, 25.3]

IPAIRNAMESHIFTNEWSHIFTS/N NAMESHIFTNEWSHIFTS/N
0 06690067 0.430 0.000 314.59 06690066 0.046 0.384 308.17
1 06690063 0.415 0.015 325.44 06690069 0.042 0.388 320.19
2 06690068 0.426 0.004 321.21 06690062 0.000 0.430 313.46
3 06690064 0.414 0.016 319.64 06690065 0.043 0.387 311.58

Visit (multiple exposure and dither combined) spectra

FrameZeropointsMag plots Spatial mag deviation Spatial sky 16325A emission deviations (filled: sky, open: star) Spatial sky continuum emission Spatial sky telluric CO2 absorption deviations (filled: H < 10)
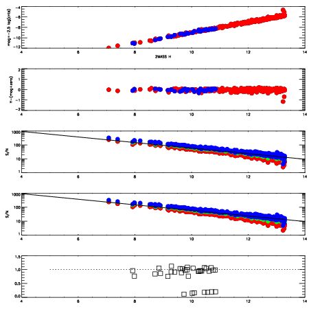
6690062
RedGreenBlue
z19.04
znorm14.86
sky 15.1 14.5 14.4
S/N 14.8 24.2 26.2
S/N(c) 13.0 22.6 25.3
SN(E/C) 0.94
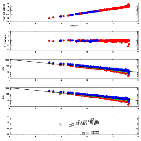
6690063
RedGreenBlue
z19.14
znorm14.96
sky 14.9 14.6 14.8
S/N 16.0 25.5 27.6
S/N(c) 13.8 24.1 25.6
SN(E/C) 0.88
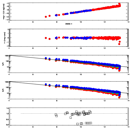
6690064
RedGreenBlue
z19.09
znorm14.91
sky 15.0 14.7 15.0
S/N 15.3 24.9 26.3
S/N(c) 13.3 23.6 24.3
SN(E/C) 0.93
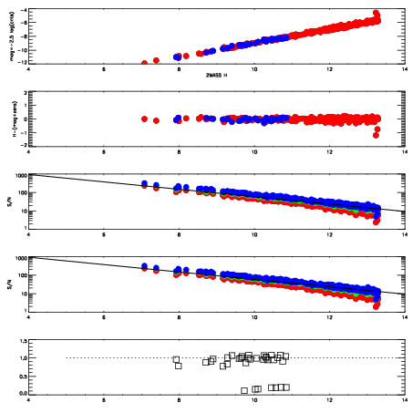
6690065
RedGreenBlue
z19.03
znorm14.85
sky 15.0 14.9 15.1
S/N 14.4 24.2 25.5
S/N(c) 12.9 22.8 23.6
SN(E/C) 0.93
6690066
RedGreenBlue
z18.99
znorm14.81
sky 15.0 14.9 15.1
S/N 14.4 23.8 24.6
S/N(c) 13.0 22.5 23.2
SN(E/C) 0.96
6690067
RedGreenBlue
z19.05
znorm14.87
sky 15.0 14.8 15.1
S/N 15.0 24.6 25.5
S/N(c) 13.3 23.2 23.9
SN(E/C) 0.94
6690068
RedGreenBlue
z19.12
znorm14.94
sky 14.9 14.8 14.8
S/N 15.4 25.6 26.7
S/N(c) 13.7 23.9 24.9
SN(E/C) 0.92
6690069
RedGreenBlue
z19.13
znorm14.95
sky 14.8 14.7 14.9
S/N 15.5 25.2 26.8
S/N(c) 13.6 23.7 25.3
SN(E/C) 0.97