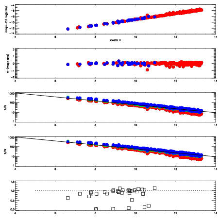
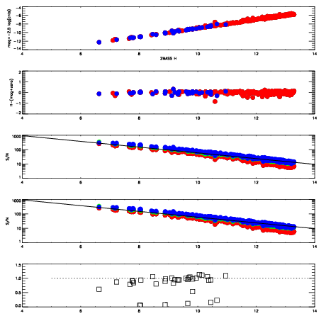
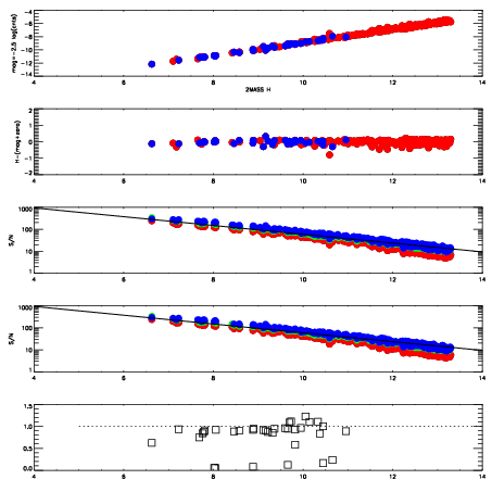
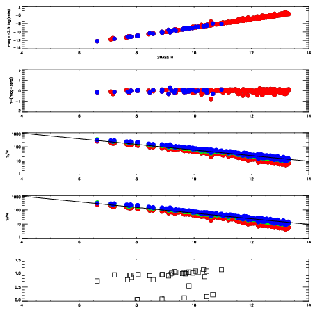
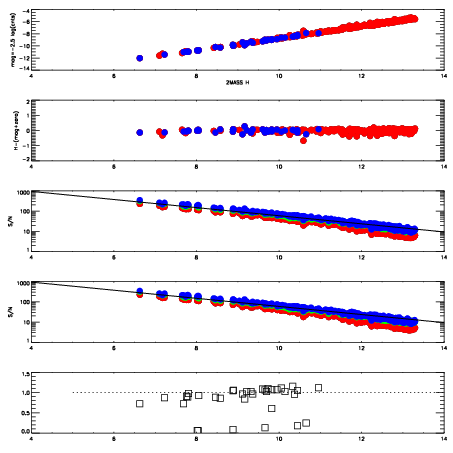
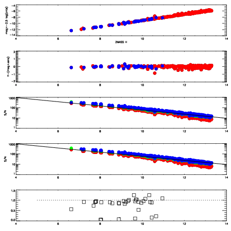
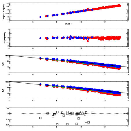
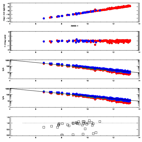
| Frame | Nreads | Zeropoints | Mag plots
| Spatial mag deviation
| Spatial sky 16325A emission deviations (filled: sky, open: star)
| Spatial sky continuum emission
| Spatial sky telluric CO2 absorption deviations (filled: H < 10)
|
| 6740036
| 47
| | Red | Green | Blue
| | z | | 18.86
| | znorm | | 14.68
| | sky | 14.9 | 14.5 | 14.5
| | S/N | 13.3 | 21.4 | 24.2
| | S/N(c) | 11.5 | 20.2 | 22.8
| | SN(E/C) | 0.93
|
|
|
|
|
|
|
| 6740037
| 47
| | Red | Green | Blue
| | z | | 18.95
| | znorm | | 14.77
| | sky | 14.9 | 14.7 | 14.9
| | S/N | 14.0 | 22.3 | 24.8
| | S/N(c) | 12.3 | 20.8 | 23.3
| | SN(E/C) | 0.93
|
|
|
|
|
|
|
| 6740038
| 47
| | Red | Green | Blue
| | z | | 19.05
| | znorm | | 14.87
| | sky | 14.7 | 14.7 | 14.8
| | S/N | 14.8 | 24.0 | 25.5
| | S/N(c) | 13.2 | 22.3 | 24.1
| | SN(E/C) | 0.92
|
|
|
|
|
|
|
| 6740039
| 47
| | Red | Green | Blue
| | z | | 18.91
| | znorm | | 14.73
| | sky | 14.8 | 14.8 | 15.0
| | S/N | 13.4 | 22.4 | 23.9
| | S/N(c) | 11.8 | 20.9 | 22.5
| | SN(E/C) | 0.91
|
|
|
|
|
|
|
| 6740040
| 47
| | Red | Green | Blue
| | z | | 18.77
| | znorm | | 14.59
| | sky | 15.0 | 14.9 | 15.0
| | S/N | 12.4 | 20.9 | 22.2
| | S/N(c) | 10.7 | 19.3 | 20.9
| | SN(E/C) | 0.96
|
|
|
|
|
|
|
| 6740041
| 47
| | Red | Green | Blue
| | z | | 18.86
| | znorm | | 14.68
| | sky | 14.8 | 14.9 | 15.0
| | S/N | 13.4 | 22.1 | 23.0
| | S/N(c) | 11.8 | 20.4 | 21.6
| | SN(E/C) | 0.97
|
|
|
|
|
|
|
| 6740042
| 47
| | Red | Green | Blue
| | z | | 18.99
| | znorm | | 14.81
| | sky | 15.1 | 14.8 | 14.9
| | S/N | 14.1 | 23.4 | 24.9
| | S/N(c) | 12.6 | 21.6 | 23.4
| | SN(E/C) | 0.93
|
|
|
|
|
|
|
| 6740043
| 47
| | Red | Green | Blue
| | z | | 19.07
| | znorm | | 14.89
| | sky | 14.7 | 14.7 | 14.9
| | S/N | 15.2 | 24.7 | 26.3
| | S/N(c) | 13.4 | 23.0 | 24.8
| | SN(E/C) | 0.90
|
|
|
|
|
|
|