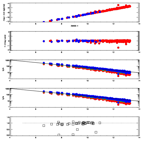
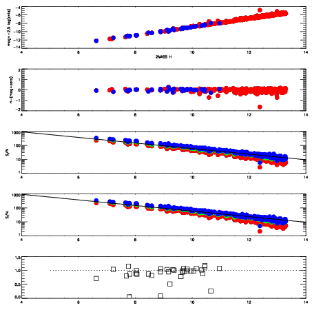
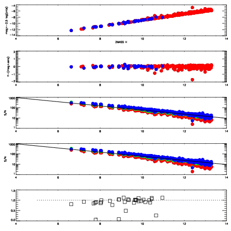
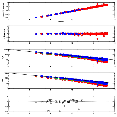
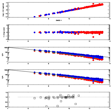
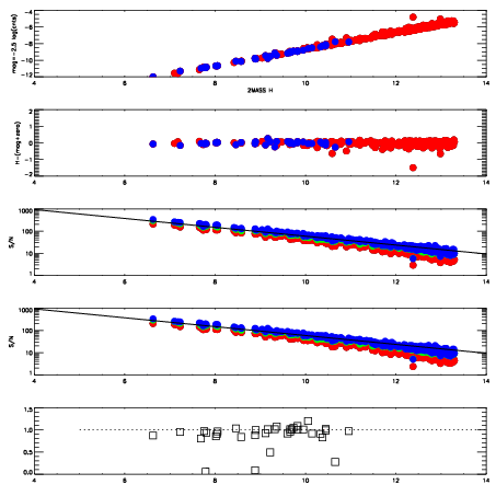
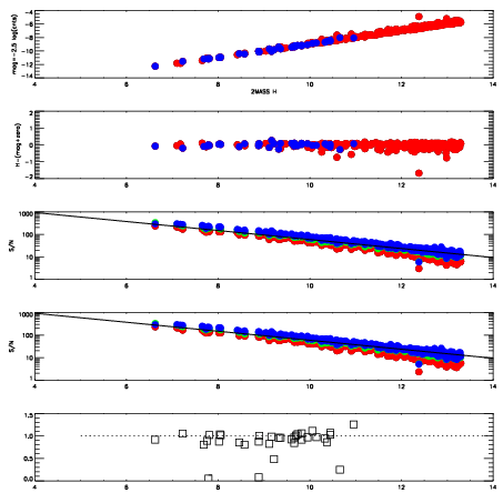
| Frame | Nreads | Zeropoints | Mag plots
| Spatial mag deviation
| Spatial sky 16325A emission deviations (filled: sky, open: star)
| Spatial sky continuum emission
| Spatial sky telluric CO2 absorption deviations (filled: H < 10)
|
| 6920063
| 47
| | Red | Green | Blue
| | z | | 18.96
| | znorm | | 14.78
| | sky | 14.7 | 14.4 | 14.2
| | S/N | 14.2 | 22.5 | 26.3
| | S/N(c) | 12.6 | 21.6 | 24.7
| | SN(E/C) | 0.96
|
|
|
|
|
|
|
| 6920064
| 47
| | Red | Green | Blue
| | z | | 18.96
| | znorm | | 14.78
| | sky | 14.6 | 14.3 | 14.8
| | S/N | 14.1 | 22.6 | 25.9
| | S/N(c) | 12.4 | 21.7 | 24.6
| | SN(E/C) | 0.96
|
|
|
|
|
|
|
| 6920065
| 47
| | Red | Green | Blue
| | z | | 18.88
| | znorm | | 14.70
| | sky | 14.6 | 14.6 | 14.7
| | S/N | 13.2 | 21.7 | 24.5
| | S/N(c) | 11.5 | 20.2 | 23.1
| | SN(E/C) | 0.97
|
|
|
|
|
|
|
| 6920066
| 47
| | Red | Green | Blue
| | z | | 18.69
| | znorm | | 14.51
| | sky | 15.2 | 14.6 | 14.8
| | S/N | 11.8 | 19.4 | 22.3
| | S/N(c) | 10.1 | 18.3 | 20.8
| | SN(E/C) | 0.96
|
|
|
|
|
|
|
| 6920067
| 47
| | Red | Green | Blue
| | z | | 18.48
| | znorm | | 14.30
| | sky | 15.1 | 14.6 | 14.8
| | S/N | 9.8 | 17.2 | 19.8
| | S/N(c) | 8.4 | 16.0 | 18.5
| | SN(E/C) | 0.98
|
|
|
|
|
|
|
| 6920068
| 47
| | Red | Green | Blue
| | z | | 18.39
| | znorm | | 14.21
| | sky | 15.0 | 14.7 | 14.9
| | S/N | 9.5 | 16.2 | 18.5
| | S/N(c) | 8.1 | 15.2 | 17.1
| | SN(E/C) | 0.97
|
|
|
|
|
|
|
| 6920069
| 47
| | Red | Green | Blue
| | z | | 18.68
| | znorm | | 14.50
| | sky | 14.7 | 14.6 | 14.6
| | S/N | 11.5 | 19.3 | 21.6
| | S/N(c) | 10.0 | 18.0 | 20.5
| | SN(E/C) | 0.96
|
|
|
|
|
|
|
| 6920070
| 47
| | Red | Green | Blue
| | z | | 18.62
| | znorm | | 14.44
| | sky | 14.8 | 14.7 | 14.8
| | S/N | 11.1 | 18.7 | 20.6
| | S/N(c) | 9.7 | 17.5 | 19.5
| | SN(E/C) | 1.00
|
|
|
|
|
|
|