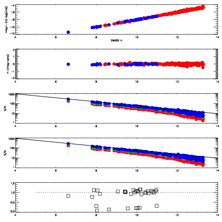
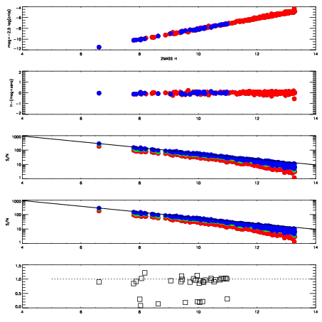
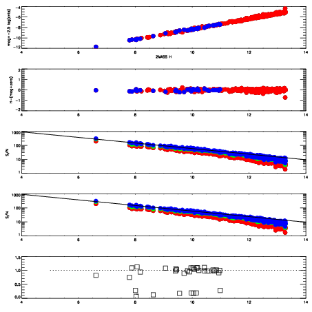
| Frame | Nreads | Zeropoints | Mag plots
| Spatial mag deviation
| Spatial sky 16325A emission deviations (filled: sky, open: star)
| Spatial sky continuum emission
| Spatial sky telluric CO2 absorption deviations (filled: H < 10)
|
| 6920074
| 47
| | Red | Green | Blue
| | z | | 18.68
| | znorm | | 14.50
| | sky | 15.2 | 14.7 | 14.6
| | S/N | 11.8 | 19.5 | 22.4
| | S/N(c) | 10.2 | 18.4 | 21.3
| | SN(E/C) | 0.97
|
|
|
|
|
|
|
| 6920075
| 47
| | Red | Green | Blue
| | z | | 18.57
| | znorm | | 14.39
| | sky | 15.0 | 14.6 | 15.0
| | S/N | 10.8 | 18.6 | 20.9
| | S/N(c) | 9.6 | 17.5 | 19.4
| | SN(E/C) | 0.98
|
|
|
|
|
|
|
| 6920076
| 47
| | Red | Green | Blue
| | z | | 18.61
| | znorm | | 14.43
| | sky | 14.8 | 14.7 | 15.0
| | S/N | 11.6 | 19.3 | 21.7
| | S/N(c) | 10.1 | 17.7 | 20.3
| | SN(E/C) | 0.97
|
|
|
|
|
|
|
| 6920077
| 47
| | Red | Green | Blue
| | z | | 18.50
| | znorm | | 14.32
| | sky | 14.8 | 14.8 | 15.0
| | S/N | 10.5 | 18.0 | 19.9
| | S/N(c) | 9.2 | 16.4 | 18.8
| | SN(E/C) | 0.97
|
|
|
|
|
|
|
| 6920078
| 47
| | Red | Green | Blue
| | z | | 18.07
| | znorm | | 13.89
| | sky | 15.2 | 14.9 | 15.2
| | S/N | 7.4 | 13.6 | 15.1
| | S/N(c) | 6.6 | 12.6 | 14.1
| | SN(E/C) | 0.99
|
|
|
|
|
|
|
| 6920079
| 47
| | Red | Green | Blue
| | z | | 18.29
| | znorm | | 14.11
| | sky | 15.2 | 14.8 | 15.2
| | S/N | 8.6 | 15.3 | 17.7
| | S/N(c) | 7.6 | 13.9 | 16.5
| | SN(E/C) | 0.97
|
|
|
|
|
|
|
| 6920080
| 47
| | Red | Green | Blue
| | z | | 18.36
| | znorm | | 14.18
| | sky | 15.1 | 14.9 | 15.1
| | S/N | 9.1 | 15.7 | 18.4
| | S/N(c) | 7.8 | 14.4 | 17.3
| | SN(E/C) | 0.98
|
|
|
|
|
|
|
| 6920081
| 47
| | Red | Green | Blue
| | z | | 18.14
| | znorm | | 13.96
| | sky | 15.2 | 15.1 | 15.2
| | S/N | 7.7 | 13.9 | 16.2
| | S/N(c) | 6.8 | 12.6 | 14.7
| | SN(E/C) | 0.94
|
|
|
|
|
|
|