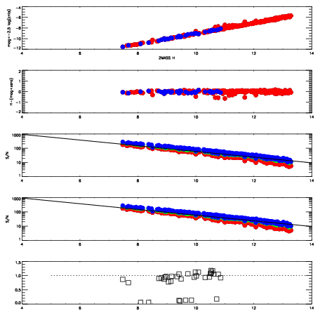
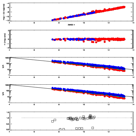
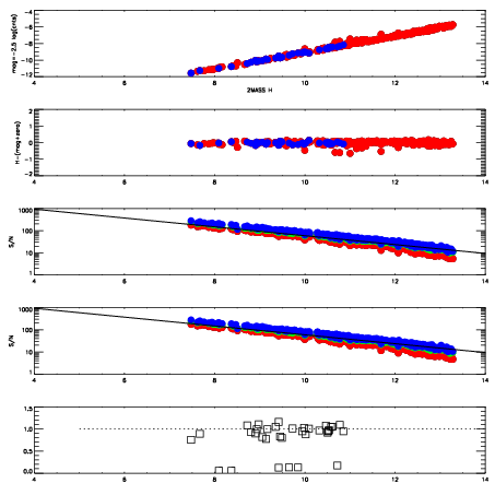
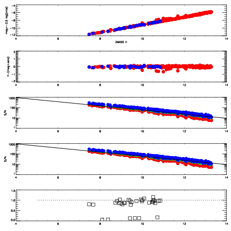
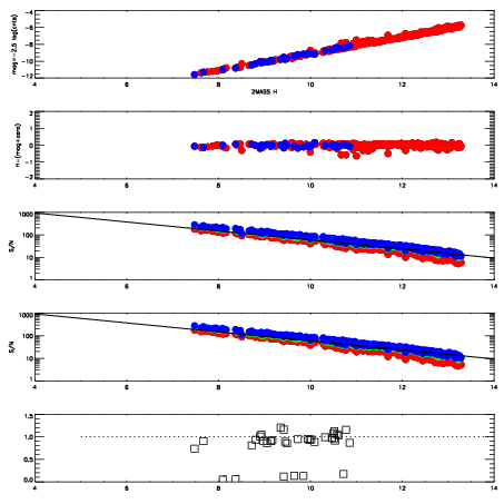
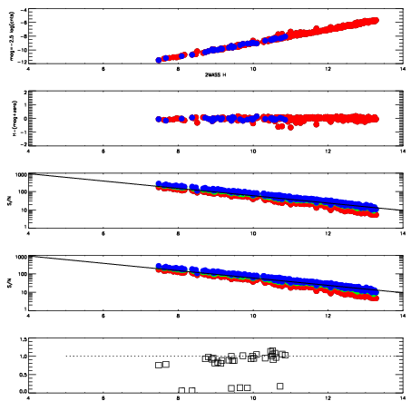
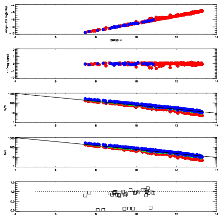
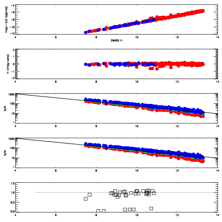
| Frame | Nreads | Zeropoints | Mag plots
| Spatial mag deviation
| Spatial sky 16325A emission deviations (filled: sky, open: star)
| Spatial sky continuum emission
| Spatial sky telluric CO2 absorption deviations (filled: H < 10)
|
| 7050037
| 47
| | Red | Green | Blue
| | z | | 18.98
| | znorm | | 14.80
| | sky | 15.1 | 14.4 | 14.5
| | S/N | 15.0 | 24.8 | 27.2
| | S/N(c) | 13.4 | 23.4 | 25.5
| | SN(E/C) | 0.95
|
|
|
|
|
|
|
| 7050038
| 47
| | Red | Green | Blue
| | z | | 19.11
| | znorm | | 14.93
| | sky | 14.5 | 14.4 | 14.8
| | S/N | 16.6 | 26.7 | 29.5
| | S/N(c) | 14.8 | 25.1 | 27.8
| | SN(E/C) | 0.94
|
|
|
|
|
|
|
| 7050039
| 47
| | Red | Green | Blue
| | z | | 19.16
| | znorm | | 14.98
| | sky | 15.0 | 14.6 | 14.8
| | S/N | 17.0 | 27.4 | 30.1
| | S/N(c) | 15.2 | 25.8 | 28.3
| | SN(E/C) | 0.90
|
|
|
|
|
|
|
| 7050040
| 47
| | Red | Green | Blue
| | z | | 19.10
| | znorm | | 14.92
| | sky | 14.7 | 14.6 | 14.7
| | S/N | 16.3 | 26.7 | 29.2
| | S/N(c) | 14.5 | 25.0 | 27.4
| | SN(E/C) | 0.95
|
|
|
|
|
|
|
| 7050041
| 47
| | Red | Green | Blue
| | z | | 19.07
| | znorm | | 14.89
| | sky | 15.0 | 14.7 | 14.7
| | S/N | 16.1 | 26.3 | 28.7
| | S/N(c) | 14.3 | 24.5 | 27.0
| | SN(E/C) | 0.94
|
|
|
|
|
|
|
| 7050042
| 47
| | Red | Green | Blue
| | z | | 19.05
| | znorm | | 14.87
| | sky | 14.9 | 14.5 | 14.7
| | S/N | 15.8 | 26.0 | 28.3
| | S/N(c) | 13.9 | 24.3 | 26.5
| | SN(E/C) | 0.93
|
|
|
|
|
|
|
| 7050043
| 47
| | Red | Green | Blue
| | z | | 19.01
| | znorm | | 14.83
| | sky | 14.7 | 14.7 | 14.8
| | S/N | 15.5 | 25.8 | 28.0
| | S/N(c) | 13.6 | 23.8 | 26.2
| | SN(E/C) | 0.93
|
|
|
|
|
|
|
| 7050044
| 47
| | Red | Green | Blue
| | z | | 19.11
| | znorm | | 14.93
| | sky | 15.0 | 14.6 | 14.7
| | S/N | 16.8 | 27.1 | 29.5
| | S/N(c) | 15.0 | 25.2 | 27.8
| | SN(E/C) | 0.92
|
|
|
|
|
|
|