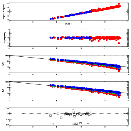
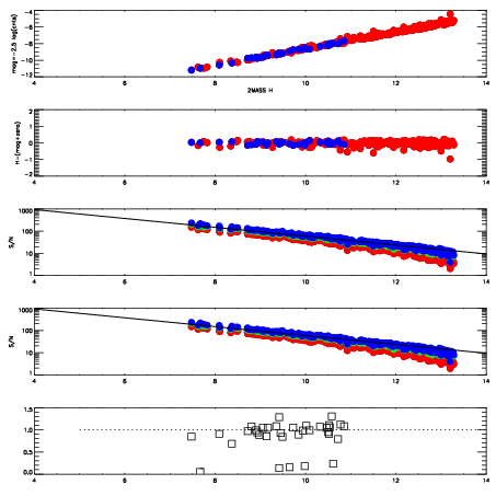
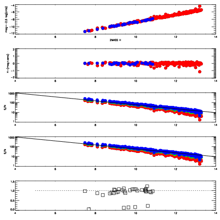
| Frame | Nreads | Zeropoints | Mag plots
| Spatial mag deviation
| Spatial sky 16325A emission deviations (filled: sky, open: star)
| Spatial sky continuum emission
| Spatial sky telluric CO2 absorption deviations (filled: H < 10)
|
| 7280070
| 47
| | Red | Green | Blue
| | z | | 18.93
| | znorm | | 14.75
| | sky | 15.1 | 14.7 | 14.7
| | S/N | 14.1 | 23.5 | 25.8
| | S/N(c) | 12.4 | 22.0 | 24.5
| | SN(E/C) | 0.95
|
|
|
|
|
|
|
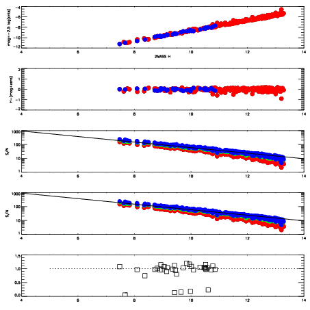
| 7280071
| 47
| | Red | Green | Blue
| | z | | 18.76
| | znorm | | 14.58
| | sky | 15.0 | 14.7 | 15.0
| | S/N | 12.7 | 21.5 | 23.4
| | S/N(c) | 11.3 | 20.4 | 22.3
| | SN(E/C) | 0.96
|
|
|
|
|
|
|
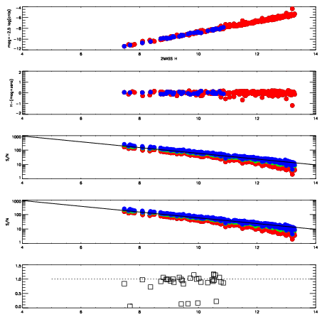
| 7280072
| 47
| | Red | Green | Blue
| | z | | 18.89
| | znorm | | 14.71
| | sky | 15.3 | 14.8 | 15.1
| | S/N | 13.7 | 23.3 | 25.0
| | S/N(c) | 12.3 | 21.8 | 24.1
| | SN(E/C) | 0.94
|
|
|
|
|
|
|
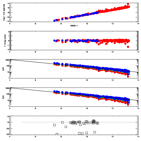
| 7280073
| 47
| | Red | Green | Blue
| | z | | 18.77
| | znorm | | 14.59
| | sky | 15.4 | 14.7 | 15.1
| | S/N | 12.3 | 21.8 | 23.2
| | S/N(c) | 10.8 | 20.5 | 22.2
| | SN(E/C) | 0.96
|
|
|
|
|
|
|
| 7280074
| 47
| | Red | Green | Blue
| | z | | 18.74
| | znorm | | 14.56
| | sky | 15.1 | 14.7 | 14.9
| | S/N | 12.4 | 21.4 | 23.1
| | S/N(c) | 11.2 | 20.2 | 21.9
| | SN(E/C) | 0.99
|
|
|
|
|
|
|
| 7280075
| 47
| | Red | Green | Blue
| | z | | 18.62
| | znorm | | 14.44
| | sky | 14.9 | 15.0 | 15.1
| | S/N | 11.6 | 20.0 | 21.4
| | S/N(c) | 10.4 | 18.6 | 20.4
| | SN(E/C) | 0.97
|
|
|
|
|
|
|
| 7280076
| 47
| | Red | Green | Blue
| | z | | 18.68
| | znorm | | 14.50
| | sky | 14.9 | 14.9 | 14.9
| | S/N | 11.5 | 20.5 | 21.8
| | S/N(c) | 10.3 | 19.1 | 20.6
| | SN(E/C) | 0.98
|
|
|
|
|
|
|
| 7280077
| 47
| | Red | Green | Blue
| | z | | 18.48
| | znorm | | 14.30
| | sky | 15.0 | 14.8 | 15.0
| | S/N | 10.1 | 18.2 | 19.5
| | S/N(c) | 9.0 | 17.0 | 18.5
| | SN(E/C) | 1.01
|
|
|
|
|
|
|