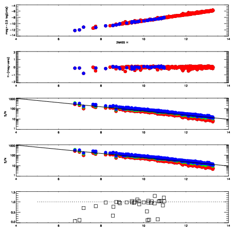
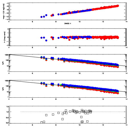
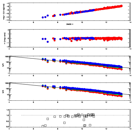
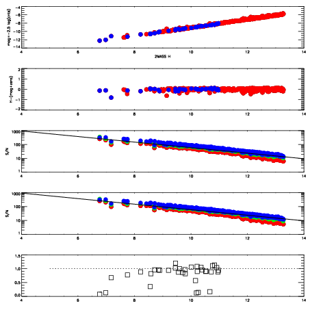
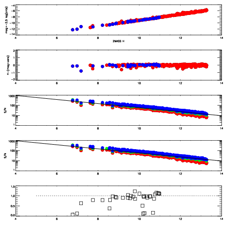
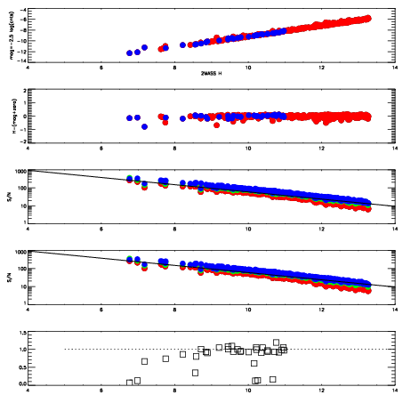
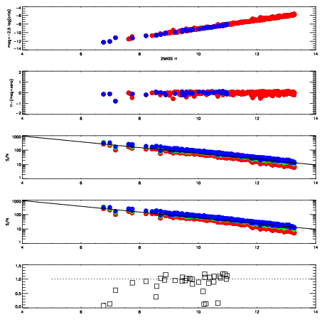
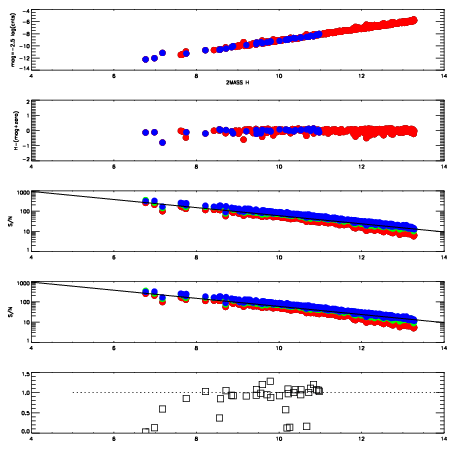
| Frame | Nreads | Zeropoints | Mag plots
| Spatial mag deviation
| Spatial sky 16325A emission deviations (filled: sky, open: star)
| Spatial sky continuum emission
| Spatial sky telluric CO2 absorption deviations (filled: H < 10)
|
| 6410079
| 47
| | Red | Green | Blue
| | z | | 19.10
| | znorm | | 14.92
| | sky | 14.8 | 14.5 | 14.6
| | S/N | 15.6 | 25.6 | 28.9
| | S/N(c) | 13.9 | 23.9 | 27.1
| | SN(E/C) | 0.97
|
|
|
|
|
|
|
| 6410080
| 47
| | Red | Green | Blue
| | z | | 19.12
| | znorm | | 14.94
| | sky | 14.6 | 14.6 | 15.0
| | S/N | 15.4 | 25.7 | 29.0
| | S/N(c) | 13.7 | 24.2 | 27.4
| | SN(E/C) | 0.91
|
|
|
|
|
|
|
| 6410081
| 47
| | Red | Green | Blue
| | z | | 19.13
| | znorm | | 14.95
| | sky | 14.8 | 14.7 | 15.1
| | S/N | 15.7 | 25.9 | 28.9
| | S/N(c) | 13.9 | 24.1 | 27.3
| | SN(E/C) | 0.95
|
|
|
|
|
|
|
| 6410082
| 47
| | Red | Green | Blue
| | z | | 19.12
| | znorm | | 14.94
| | sky | 15.0 | 14.6 | 15.0
| | S/N | 15.8 | 25.7 | 28.6
| | S/N(c) | 14.0 | 24.1 | 26.9
| | SN(E/C) | 0.94
|
|
|
|
|
|
|
| 6410083
| 47
| | Red | Green | Blue
| | z | | 19.16
| | znorm | | 14.98
| | sky | 14.9 | 14.7 | 15.2
| | S/N | 16.4 | 26.5 | 28.9
| | S/N(c) | 14.5 | 24.6 | 27.3
| | SN(E/C) | 0.91
|
|
|
|
|
|
|
| 6410084
| 47
| | Red | Green | Blue
| | z | | 19.11
| | znorm | | 14.93
| | sky | 14.6 | 14.8 | 15.2
| | S/N | 15.4 | 25.7 | 28.3
| | S/N(c) | 13.7 | 23.8 | 26.5
| | SN(E/C) | 0.89
|
|
|
|
|
|
|
| 6410085
| 47
| | Red | Green | Blue
| | z | | 19.13
| | znorm | | 14.95
| | sky | 14.9 | 14.7 | 15.2
| | S/N | 15.8 | 26.1 | 28.2
| | S/N(c) | 14.2 | 24.2 | 26.6
| | SN(E/C) | 0.96
|
|
|
|
|
|
|
| 6410086
| 47
| | Red | Green | Blue
| | z | | 19.19
| | znorm | | 15.01
| | sky | 14.7 | 14.8 | 15.1
| | S/N | 16.2 | 26.8 | 29.0
| | S/N(c) | 14.5 | 24.9 | 27.3
| | SN(E/C) | 0.93
|
|
|
|
|
|
|