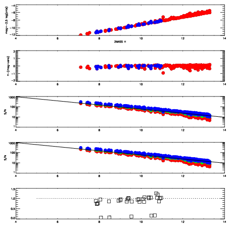
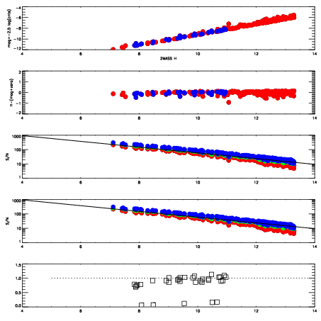
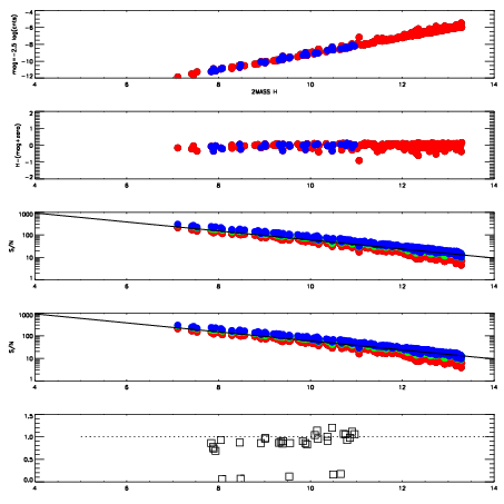
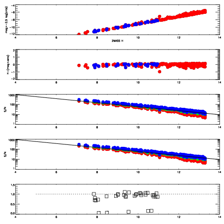
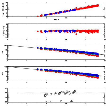
| Frame | Nreads | Zeropoints | Mag plots
| Spatial mag deviation
| Spatial sky 16325A emission deviations (filled: sky, open: star)
| Spatial sky continuum emission
| Spatial sky telluric CO2 absorption deviations (filled: H < 10)
|
| 6660078
| 47
| | Red | Green | Blue
| | z | | 19.12
| | znorm | | 14.94
| | sky | 15.0 | 14.4 | 14.6
| | S/N | 16.8 | 25.0 | 29.6
| | S/N(c) | 15.0 | 23.2 | 27.8
| | SN(E/C) | 0.93
|
|
|
|
|
|
|
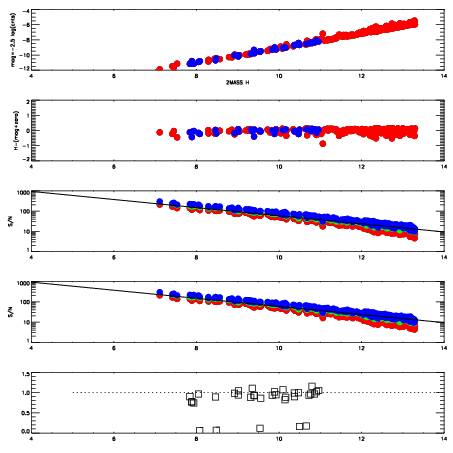
| 6660079
| 47
| | Red | Green | Blue
| | z | | 19.14
| | znorm | | 14.96
| | sky | 15.1 | 14.7 | 15.1
| | S/N | 17.0 | 25.4 | 30.1
| | S/N(c) | 15.1 | 23.6 | 28.2
| | SN(E/C) | 0.95
|
|
|
|
|
|
|
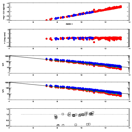
| 6660080
| 47
| | Red | Green | Blue
| | z | | 19.17
| | znorm | | 14.99
| | sky | 15.0 | 14.6 | 15.0
| | S/N | 17.1 | 25.8 | 30.3
| | S/N(c) | 15.2 | 23.9 | 28.8
| | SN(E/C) | 0.91
|
|
|
|
|
|
|
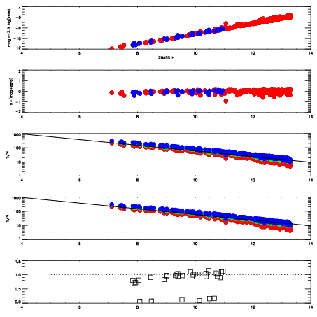
| 6660081
| 47
| | Red | Green | Blue
| | z | | 19.17
| | znorm | | 14.99
| | sky | 15.5 | 14.9 | 15.3
| | S/N | 17.1 | 25.9 | 30.2
| | S/N(c) | 15.1 | 24.0 | 28.3
| | SN(E/C) | 0.96
|
|
|
|
|
|
|
| 6660082
| 47
| | Red | Green | Blue
| | z | | 19.14
| | znorm | | 14.96
| | sky | 15.2 | 14.7 | 15.2
| | S/N | 16.7 | 25.7 | 29.8
| | S/N(c) | 14.9 | 23.8 | 27.7
| | SN(E/C) | 0.95
|
|
|
|
|
|
|
| 6660083
| 47
| | Red | Green | Blue
| | z | | 19.14
| | znorm | | 14.96
| | sky | 14.9 | 14.9 | 15.2
| | S/N | 16.6 | 25.7 | 29.7
| | S/N(c) | 14.7 | 23.7 | 27.8
| | SN(E/C) | 0.95
|
|
|
|
|
|
|
| 6660084
| 47
| | Red | Green | Blue
| | z | | 19.16
| | znorm | | 14.98
| | sky | 15.0 | 14.9 | 15.4
| | S/N | 16.9 | 25.7 | 29.9
| | S/N(c) | 15.2 | 23.8 | 28.1
| | SN(E/C) | 0.94
|
|
|
|
|
|
|
| 6660085
| 47
| | Red | Green | Blue
| | z | | 19.13
| | znorm | | 14.95
| | sky | 15.1 | 14.9 | 15.3
| | S/N | 16.6 | 25.4 | 29.8
| | S/N(c) | 14.9 | 23.8 | 27.8
| | SN(E/C) | 0.90
|
|
|
|
|
|
|